OPTICALLY PUMPED BIPOLAR TRANSISTOR
- Authors: Altudov Y.K.1, Gaev D.S.1, Pskhu A.V.2, Rekhviashvili S.S.2
-
Affiliations:
- Kabardino-Balkarian State University named after. HM. Berbekova
- Institute of Applied Mathematics and Automation KBSC RAS
- Issue: Vol 52, No 6 (2023)
- Pages: 489-496
- Section: ПРИБОРЫ
- URL: https://journal-vniispk.ru/0544-1269/article/view/231917
- DOI: https://doi.org/10.31857/S0544126923600240
- EDN: https://elibrary.ru/CSXYVP
- ID: 231917
Cite item
Full Text
Abstract
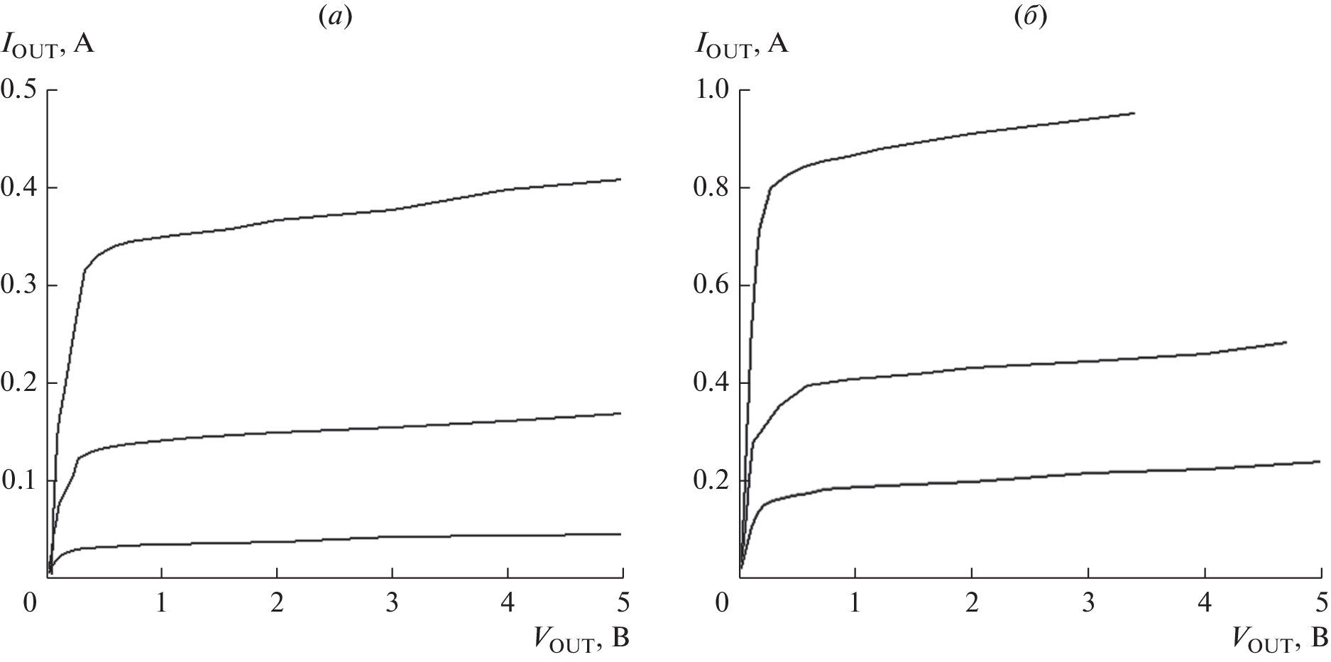
The properties of a bipolar npn transistor were studied when exposed to unmodulated incoherent radiation created by a “white” LED. The static and dynamic characteristics of the transistor were measured at various exposure intensities. It is shown that the change in the characteristics of the transistor under optical influence is due to an increase in the lifetime of nonequilibrium charge carriers and the photovoltaic effect in p-n junctions. For these reasons, the gain increases, the switching threshold decreases, and the transistor speed increases. The results obtained are applicable both to the creation of high-speed transistors and integrated circuits of a fundamentally new type.
About the authors
Yu. K. Altudov
Kabardino-Balkarian State University named after. HM. Berbekova
Email: rsergo@mail.ru
st. Chernyshevsky, 173, Nalchik, KBR, 360004 Russia
D. S. Gaev
Kabardino-Balkarian State University named after. HM. Berbekova
Email: rsergo@mail.ru
st. Chernyshevsky, 173, Nalchik, KBR, 360004 Russia
A. V. Pskhu
Institute of Applied Mathematics and Automation KBSC RAS
Email: rsergo@mail.ru
st. Shortanova, 89A, Nalchik, KBR, 360000 Russia
S. Sh. Rekhviashvili
Institute of Applied Mathematics and Automation KBSC RAS
Author for correspondence.
Email: rsergo@mail.ru
st. Shortanova, 89A, Nalchik, KBR, 360000 Russia
References
- Электроника. Энциклопедический словарь. Гл. ред. Колесников В.Г. М.: Сов. энциклопедия, 1991. С. 348–351.
- Носов Ю.Р. Оптоэлектроника. М.: Радио и связь, 1989. 360 с.
- Розеншер Э., Винтер Б. Оптоэлектроника. М.: Техносфера, 2004. 592 с.
- Agrawal G.P., Dutta N.K. Photonic and optoelectronic integrated circuits. In: Semiconductor Lasers. Springer, Boston, MA. 1993. P. 530–546.
- Zimmermann H. Silicon optoelectronic integrated circuits. Springer International Publishing, 2018. 441 p.
- Рехвиашвили С.Ш., Нарожнов В.В. Способ повышения быстродействия транзисторов и транзисторных интегральных схем. Патент РФ № 2799113. Приоритет от 18.03.2022.
- Косяченко Л.А., Грушко Е.В., Микитюк Т.И. Поглощательная способность полупроводников, используемых в производстве солнечных панелей // ФТП. 2012. Т. 46. № 4. С. 482–486. [пер. Kosyachenko L.A., Grushko E.V., Mikityuk T.I. Absorptivity of semiconductors used in the production of solar cell panels // Semiconductors. 2012. V. 46. № 4. P. 466–470.]
- Тилл У., Лаксон Дж. Интегральные схемы. Материалы, приборы, изготовление. М.: Мир, 1985. 504 с.
- Бородовский П.А., Булдыгин А.Ф., Токарев А.С. О некоторых эффектах, наблюдаемых при СВЧ-измерениях времени жизни в слитках кремния // Микроэлектроника. 2006. Т. 35. № 6. С. 403–408. [пер. Borodovskii P.A., Buldygin A.F., Tokarev A.S. On some effects observed in microwave measurements of the lifetime in silicon ingots // Russian Microelectronics. 2006. V. 45. № 6. P. 345–349.]
- Бородовский П.А., Булдыгин А.Ф., Голод С.В. Аномальная релаксация фотопроводимости в кремнии при высоких уровнях инжекции // ФТП. 2009. Т. 43. № 3. С. 329–331. [пер. Borodovskii P.A., Buldygin A.F., Golod S.V. Anomalous relaxation of photoconductivity in silicon at high excitation levels // Semiconductors. 2009. V. 43. № 3. P. 310–312.]
- Кобелева С.П., Юрчук С.Ю., Ярынчак М.А., Калинин В.В. Влияние поверхностной рекомбинации на измерение времени жизни в слитках монокристаллического кремния // Известия ВУЗов. Материалы электронной техники. 2006. № 4. С. 17–20.
- Анфимов И.М., Кобелева С.П., Пыльнев А.В., Щемеров И.В., Егоров Д.С., Юрчук С.Ю. К вопросу об определении объемного времени жизни по спаду фотопроводимости на непассивированных образцах монокристаллического кремния // Известия ВУЗов. Материалы электронной техники. 2016. Т. 19. № 3. С. 210–216. [пер. Anfimov I.M., Kobeleva S.P., Pylnev A.V., Schemerov I.V., Egorov D.S., Yurchuk S.Yu. On the problem of determining the bulk lifetime by photoconductivity decay on the unpassivated samples of monocrystalline silicon // Russian Microelectronics. 2017. V. 46. № 8. P. 585–590.]
- Пашенцев В.Н. Изменение характеристик полупроводниковых структур СВЧ-усилителей под воздействием импульсного лазерного излучения // ЖТФ. 2021. Т. 91. № 11. С. 1715–1721. [пер. Pashentsev V.N. Changes in the characteristics of semiconductor structures of microwave amplifiers under the action of pulsed laser radiation // Technical Physics. 2022. V. 67. № 14. P. 2236–2242.]
- Евстропов В.В., Киселев К.В., Петрович И.Л., Царенков Б.В. Скорость рекомбинации через многоуровневый (многозарядный) центр // ФТП. 1984. Т. 18. № 5. С. 902–912.
- Бьюб Р. Фотопроводимость твердых тел. М.: Изд-во иностр. лит., 1962. 558 с.
- Fan H.Y. Effect of traps on carrier injection in semiconductors // Phys. Rev. 1953. V. 92. № 6. P. 1424–1428.
- Дьяконова Н.В., Левинштейн М.Е., Румянцев С.Л. Природа объемного шума 1/f в GaAs и Si (обзор) // ФТП. 1991. Т. 25. № 12. С. 2065–2104. [пер. Dyakonova N.V., Levinshtein M.E., Rumyantsev S.L. Nature of the bulk 1/f noise in GaAs and Si // Sov. Phys. Semicond. 1991. V. 25. № 12. P. 1241–1265.]
Supplementary files









