Исследование мемристорного эффекта в кроссбар-архитектуре для нейроморфных систем искусственного интеллекта
- Авторы: Полякова В.В.1, Саенко А.В.1, Коц И.Н.1, Ковалев А.В.1
-
Учреждения:
- Южный федеральный университет
- Выпуск: Том 53, № 1 (2024)
- Страницы: 58-63
- Раздел: ПРИБОРЫ
- URL: https://journal-vniispk.ru/0544-1269/article/view/259587
- DOI: https://doi.org/10.31857/S0544126924010069
- ID: 259587
Цитировать
Полный текст
Аннотация
В данной статье представлены результаты экспериментальных исследований структур, сформированных на основе кроссбар-архитектуры мемристорных структур из различных материалов. В качестве рабочего мемристорного слоя был использован TiO2. В качестве материала для контактных площадок были использованы: Al, Ni, Cr, Mo, Ta, Ag. В ходе проведения экспериментальных исследований было выявлено оптимальное сочетание материалов для формирования кроссбар мемристорных структур, которые в дальнейшем могут быть использованы в устройствах нейроморфных систем искусственного интеллекта.
Полный текст
ВВЕДЕНИЕ
На сегодняшний день одним из перспективных направлений научно-технического прогресса является развитие и реализация искусственного интеллекта на основе нейронных сетей [1]. Основные задачи, на которые ориентированы нейронные сети, состоят в обработке большого количества данных, реализации машинного обучения и самообучения, а также в распознавании изображений и речи. Современная архитектура фон Неймана, применяемая для решения указанных задач, где память и обработка информации физически разделены, испытывает огромные трудности, в то время как мозг человека работает доли секунд с незначительными энергозатратами — во много раз меньше современных компьютеров [2].
Однако для реализации новой элементной базы нейронных сетей необходимо решить ряд задач. Во-первых, разработать элементы памяти с многоуровневым переключением, которые могут использоваться в нейронных сетях в качестве искусственных аналогов синапсов. Во-вторых, требуется создать быстродействующую энергонезависимую флеш-память большого объема, способную сохранять информацию в течение не менее 10 лет при высокой температуре. В-третьих, нужно разработать универсальную память, которая объединяет высокую скорость работы и возможность многократного перепрограммирования, энергонезависимость флэш-памяти, большую емкость для хранения информации и низкую стоимость.
Для решения всех перечисленных задач мемристорные структуры, сформированные на основе кроссбар-архитектуры, являются многообещающим и перспективными. Мемристорные структуры представляют собой диэлектрическую пленку между двумя металлическими контактами, имеющую обратимый переход между различным сопротивлением при протекании импульса тока. Однако для понимания физики процессов, происходящих в контакте между материалами мемристорного слоя, необходимо проводить исследования для разработки и поиска наиболее подходящих материалов с наилучшими рабочими параметрами мемристорных структур [3].
На сегодняшний день существует множество способов формирования мемристорного слоя, но из-за очень маленького размера мемристорных структур, а также преимущества в возможности контролировать полученные структуры, нами был выбран метод локального анодного окисления (ЛАО) с помощью атомно-силового микроскопа. Метод ЛАО позволяет формировать оксидные наноразмерные структуры различных материалов [4, 5, 6]. Полученные таким образом структуры могут обладать заданными параметрами и свойствами. В работе [6] с помощью метода ЛАО было показано, что оксид титана, сформированный таким образом, проявляет мемристорный эффект. Поскольку данный материал совместим с КМОП-технологией, он имеет параметры быстродействия для TiO2 < 5 нс [7], воспроизводимость количества циклов TiO2 > 2 × 106 [8], что является решающими факторами при разработке и реализации мемристорной структуры, поэтому в нашей работе TiO2 был использован в качестве рабочего мемристивного слоя для построения кроссбар-структуры.
МЕТОДИКА ЭКСПЕРИМЕНТА
На рис. 1 приведен разработанный авторами технологический маршрут изготовления кроссбар-архитектуры мемристорных структур.
Рис. 1. Технологический маршрут формирования кроссбар-архитектуры.
Цифрой 1 показана подложка кремния, цифрой 2 — подложка после напыления оксида кремния, которое проводилось методом магнетронного распыления на настольной вакуумной установке магнетронного напыления VSE-PVD-DESK-PRO (ООО “АкадемВак”). Внешний вид установки представлен на рис. 2. Изолирующий слой толщиной (70 ± 5) нм формировался на указанной установке 210 мин при мощности 75 Вт, давлении 5 × 10–3 мбар и температуре 120°C. Затем (также методом магнетронного распыления) по всей поверхности наносился слой нижнего контакта из Ti. Время напыления составило 1 мин, давление — 5 × 10–3 мбар, температура — 120°C и мощность — 200 Вт. Таким образом, формировался нижний контакт толщиной (20 ± 5) нм. Цифрой 4 на рис. 1 показана маска, которой закрывался образец для нанесения Ti, а цифрой 5 — ступенька из Ti, сформированная магнетронным распылением за время напыления 0.5 мин при давлении 5 × 10–3 мбар, температуре 120°C и мощности 200 Вт. Таким образом, был сформирован слой толщиной (10 ± 5) нм.
Рис. 2. Настольная вакуумная установка магнетронного напыления VSE-PVD-DESK-PRO.
На рис. 1 под номером 6 (белым цветом) показан сформированный мемристорный слой. Его формирование проводилось с помощью зондового микроскопа Solver P47 PRO (ЗАО “НТ-МДТ”, Россия) (рис. 3). Методом ЛАО по поверхности титана в контактном режиме АСМ с кантилеверами NSG 10 с проводящим покрытием Pt была проведена нанолитография. АСМ проводился со следующими параметрами: амплитуда импульсов напряжения составляла 10 В, длительность импульсов напряжения — 100 мс, частота колебаний зонда — 0.03 Гц, ток цепи обратной связи (в программе управления PNL параметр Set Point) — 0.3 нА. Относительная влажность воздуха при ЛАО контролировалась влагомером Oregon Scientific ETHG913R и варьировалась в диапазоне (50 ± 1)%. В результате был сформирован мемристорный слой.
Рис. 3. Зондовый микроскоп Solver P47 PRO.
Цифрой 7 на рис. 1 показано, как с помощью маски проводилось формирование слоя верхних контактов. Напыление металлов в качестве верхнего контакта производилось также на установке МВУ ТМ МАГНА 01 при давлении 5 × 10–3 мбар и температуре 120°C. При этом: для Al мощность при напылении составила 200 Вт, а время — 0.5 мин; для Ni мощность при напылении составила 200 Вт, а время — 0.5 мин; для Cr мощность при напылении составила 150 Вт, а время — 0.45 мин; для Mo мощность при напылении составила 150 Вт, а время — 0.45 мин; для Ta мощность при напылении составила 150 Вт, а время — 0.45 мин; для Ag мощность при напылении составила 150 Вт, а время — 1 мин.
Цифрой 8 на рис. 1 показан сформированный макет рабочих тестовых образцов кроссбар-архитектуры мемристорных структур с мемристорным слоем из TiO2 с различными материалами верхнего контакта. Таким образом было изготовлено шесть макетов структур: Si / SiO2 / Ti / TiO2 / Al, Si / SiO2 / Ti / TiO2 / Ni, Si / SiO2 / Ti / TiO2 / Cr, Si / SiO2 / Ti / TiO2 / Mo, Si / SiO2 / Ti / TiO2 / Ta, Si / SiO2 / Ti / TiO2 / Ag.
Далее были исследованы электрические характеристики шестиизготовленных макетов структур с помощью зондового микроскопа Solver P47 PRO. Измерения параметров и характеристик макетов сформированных структур производилось методом АСМ в контактном режиме. На рис. 4 приведена электрическая схема получения вольт-амперных характеристик (ВАХ) исследуемых кроссбар-структур.
Рис. 4. Схема измерения ВАХ макета кроссбар мемристорных структур.
РЕЗУЛЬТАТЫ И ИХ ОБСУЖДЕНИЕ
Полученная ВАХ кроссбар-мемристорных структур Si / SiO2 / Ti / TiO2 / Al представлена на рис. 5.
Рис. 5. Вольт-амперные характеристики структуры Si/SiO2/Ti/TiO2/Al.
Измерение параметров структуры Si / SiO2 / Ti / TiO2 / Al проводилось в контактном режиме при подаче импульсов напряжения от –5 до 5 В. Напряжение записи Uset составило 4.1 В при токе 14 нА. Напряжение сброса Ures = –3 В при токе –2.5 нА.
Вольт-амперная характеристика кроссбар-мемристорных структур Si / SiO2 / Ti / TiO2 / Ni показана на рис. 6.
Рис. 6. Вольт-амперные характеристики структуры Si/SiO2/Ti/TiO2/Ni.
Измерение параметров структуры Si / SiO2 / Ti / TiO2 / Ni проводилось в контактном режиме при подаче импульсов напряжения от –1.5 до 1.5 В. Напряжение записи Uset составило 1.5 В при токе 26 нA. Напряжение сброса Ures = –0.8 В при токе –28 нA.
Вольт-амперная характеристика кроссбар-мемристорных структур Si / SiO2 / Ti / TiO2 / Cr изображена на рис. 7.
Рис. 7. Вольт-амперные характеристики структуры Si/SiO2/Ti/TiO2/Cr.
Измерение параметров структуры Si / SiO2 / Ti / TiO2 / Cr проводилось в контактном режиме при подаче импульсов напряжения от –4 до 4 В. Напряжение записи Uset составило 3.8 В при токе 14 нA. Напряжение сброса Ures = –3.8 В при токе –18 нA.
Вольт-амперная характеристика кроссбар-мемристорных структур Si / SiO2 / Ti / TiO2 / Mo приведена на рис. 8.
Рис. 8. Вольт-амперные характеристики структуры Si/SiO2/Ti/TiO2/Mo.
Измерение параметров структуры Si / SiO2 / Ti / TiO2 / Mo проводилось в контактном режиме при подаче импульсов напряжения от –4 до 4 В. Напряжение записи Uset составило 1.8 В при токе 10 нA. Напряжение сброса Ures = –3 В при токе –1.1 нA.
Вольт-амперная характеристика кроссбар-мемристорных структур Si / SiO2 / Ti / TiO2 / Ta показана на рис. 9.
Рис. 9. Вольт-амперные характеристики структуры Si/SiO2/Ti/TiO2/Ta.
Измерение параметров структуры Si / SiO2 / Ti / TiO2 / Ta проводилось в контактном режиме при подаче импульсов напряжения от –1 до 1 В. Напряжение записи Uset составило 0.8 В при токе 20 нA. Напряжение сброса Ures = –0.5 В при токе –17 нA.
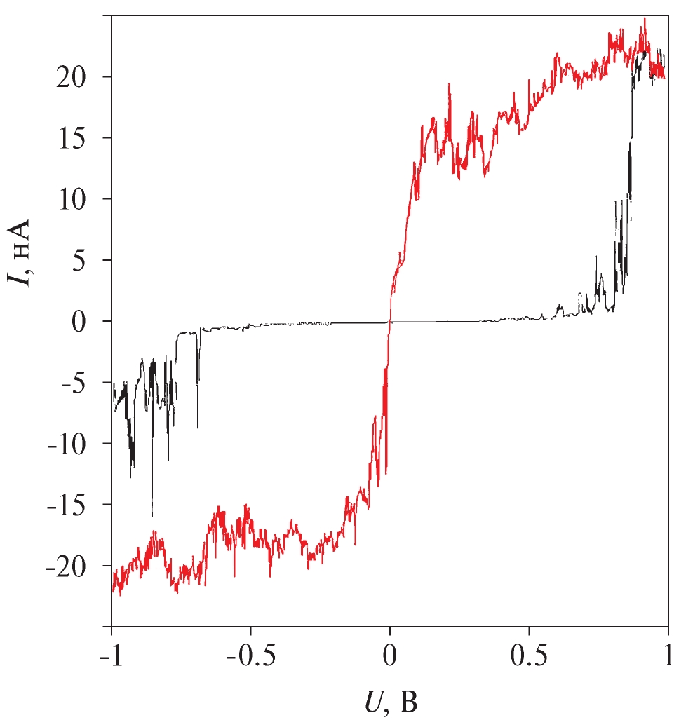
Вольт-амперная характеристика кроссбар-мемристорных структур Si / SiO2 / Ti / TiO2 / Ag представлена на рис. 10.
Рис. 10. Вольт-амперные характеристики структуры Si/SiO2/Ti/TiO2/Ag.
Измерение параметров структуры Si / SiO2 / Ti / TiO2 / Ag проводилось в контактном режиме при подаче импульсов напряжения от –0.5 до 0.5 В. Напряжение записи Uset составило 0,43 В при токе 5.1 нA. Напряжение сброса Ures = –0.3 при токе –18 нA.
Одним из показателей оптимальной работы мемристора является отношение высокоомного сопротивление (HRS) к низкоомному (LRS), которое рассчитано нами для каждой из сформированных и полученных структур.
Высокоомное сопротивление определено по формуле
,
где Ures — напряжение сброса; Ires — ток сброса.
Низкоомное сопротивление вычислено по следующей формуле:
,
где Uset — напряжение записи; Iset — ток записи.
Расчетные значения RHRS / RLRS приведены в табл. 1.
Таблица 1. Расчетные значения RHRS / RLRS
Структура | RHRS | RLRS | RHRS / RLRS |
Si / SiO2 / Ti / TiO2 / Al | 1.200 | 0.20 | 6.0 |
Si / SiO2 / Ti / TiO2 / Ni | 0.020 | 0.05 | 0.4 |
Si / SiO2 / Ti / TiO2 / Cr | 0.210 | 0.27 | 0.7 |
Si / SiO2 / Ti / TiO2 / Mo | 2.700 | 0.18 | 15.0 |
Si / SiO2 / Ti / TiO2 / Ta | 0.020 | 0.04 | 0.5 |
Si / SiO2 / Ti / TiO2 / Ag | 0.016 | 0.08 | 0.2 |
ЗАКЛЮЧЕНИЕ
Таким образом, в ходе исследования мемристорного эффекта в кроссбар-архитектуре структур для нейроморфных систем искусственного интеллекта с различными материалами верхнего контакта было выявлено, что все полученные структуры обладали мемристорным эффектом. Наибольшее значение отношений высокоомного сопротивления (HRS) к низкоомному (LRS) — 15 — показала структура Si / SiO2 / Ti / TiO2 / Mo, а наименьшее значение — 0.2 — структура Si / SiO2 / Ti / TiO2 / Ag. Полученные данные указывают на то, что в результате проведенных экспериментальных исследований выявлено оптимальное сочетание материалов для формирования кроссбар-мемристорных структур, которые в дальнейшем смогут быть использованы в устройствах нейроморфных систем искусственного интеллекта на основе структуры Si / SiO2 / Ti / TiO2 / Mo.
ФИНАНСИРОВАНИЕ
Данная работа выполнена в рамках проекта “Разработка и исследование методов и средств мониторинга, диагностики и прогнозирования состояния инженерных объектов на основе искусственного интеллекта” (задание № FENW-2020-0022). Магнетронное распыление проводилось за счет гранта российского научного фонда № 23-29-00827, https://rfcf.ru/project/23-29-00827/ в Южном федеральном университете.
КОНФЛИКТ ИНТЕРЕСОВ
Авторы заявляют, что у них нет конфликта интересов.
Об авторах
В. В. Полякова
Южный федеральный университет
Автор, ответственный за переписку.
Email: vpolyakova@sfedu.ru
Россия, Таганрог
А. В. Саенко
Южный федеральный университет
Email: vpolyakova@sfedu.ru
Россия, Таганрог
И. Н. Коц
Южный федеральный университет
Email: vpolyakova@sfedu.ru
Россия, Таганрог
А. В. Ковалев
Южный федеральный университет
Email: vpolyakova@sfedu.ru
Россия, Таганрог
Список литературы
- Пройдаков Э.М. Современное состояние исследований в области искусственного интеллекта // Цифровая экономика. 2018. Т. 3. № 3. С. 50–62.
- Гафаров Ф.М. Искусственные нейронные сети и приложения. Казань: Казань, 2018.
- Zidan M.A., Strachan J.P., Lu W.D. The future of electronics based on memristive systems // Nat. Electron. 2018. V. 1. P. 22.
- Kozhukhov A.S., Scheglov D.V., Fedina L.I., Latyshev A.V. The initial stages of atomic force microscope based local anodic oxidation of silicon AIP Advances 8, 025113 (2018). https://doi.org/10.1063/1.5007914
- Colangelo F., Piazza V., Coletti С., Roddaro S., Beltram F., Pingue P. Local anodic oxidation on hydrogen-intercalated graphene layers: oxide composition analysis and role of the silicon carbide substrate. 2 May 2018. https://doi.org/10.1088/1361-6528/aa59c7.
- Polyakova V.V., Saenko A.V. Local Anodic Oxidation for Crossbar-Array Architecture Technical Physics. 2022. V. 92. No. 8. Р. 1159–1165.
- Розанов Р.Ю., Кондрашов В.А., Неволин В.К., Чаплыгин Ю.А. Разработка и исследование мемристоров на основе металлических пленок наноразмерной толщины // Наноинженерия. 2014. № 2. С. 22–28.
- Choi B.J., Torrezan A.C., Norris K.J., Miao F. Electrical Performance and Scalability of Pt Dispersed SiO2 Nanometallic Resistance Switch // Nano Lett. 2013. № 13 (7). Р. 3213–3217.
Дополнительные файлы













