The new approach of a simulation low dose rate radiation effects in bipolar integrated circuits
- Авторлар: Chumakov A.I.1
-
Мекемелер:
- National Research Nuclear University MEPhI (Moscow Engineering Physics Institute), Moscow JSC Specialized Electronic Systems
- Шығарылым: Том 53, № 2 (2024)
- Беттер: 156-161
- Бөлім: МОДЕЛИРОВАНИЕ
- URL: https://journal-vniispk.ru/0544-1269/article/view/262706
- DOI: https://doi.org/10.31857/S0544126924020047
- ID: 262706
Дәйексөз келтіру
Толық мәтін
Аннотация
The model is proposed to explain the effects of low dose rate under the radiation influence in bipolar structures, taking into account the effects of subthreshold displacement in high-doped silicon layers. The base current degradation of bipolar transistor is determined of surface and displacement radiation effects in the near-surface base area. The conditions for the enhanced low dose rate sensitivity (ELDRS) in bipolar structures are shown. The presented results of the analysis allow us to explain most of the observed experimental results.
Негізгі сөздер
Толық мәтін
1. ВВЕДЕНИЕ
Радиационные эффекты низкой интенсивности (Enhanced Low Dose Rate Sensitivity – ELDRS) были обнаружены впервые в начале 1990-х гг. [1], когда было установлено, что деградация коэффициента усиления тока базы в некоторых аналоговых микросхемах на биполярных транзисторах зависит от мощности поглощенной дозы для значений менее 100 рад(Si)/с. При одной и той же суммарной поглощенной дозе облучения деградация коэффициента усиления биполярного транзистора Βn при низкой интенсивности существенно превосходила деградацию Βn при большой интенсивности. Подобное поведение прямо противоположно тому, что обычно наблюдается в КМОП ИС [2]. В биполярных ИС, чувствительных к ELDRS, диапазон значений мощности дозы, в котором наблюдается усиление деградации при снижении интенсивности облучения, находится в пределах ~10⁻³–10 рад(Si)/с [3, 4].
Эффект ELDRS не может быть промоделирован путем высокоинтенсивного облучения с последующим отжигом, как это часто делается в случае МОП-приборов. По этой причине оценку радиационной стойкости биполярных ИС с учетом эффекта ELDRS проводят при облучении с интенсивностью около 0.01 рад(Si)/с (как правило, с использованием коэффициента запаса по дозе, равного 1.5). Однако это значение не является универсальным и в редких случаях насыщение эффекта может происходить при еще более низких значениях мощности дозы [3].
Исследованию эффекта ELDRS посвящено достаточно много работ [3–7], среди которых наиболее признанными являются модели, основанные на увеличении выхода заряда в оксиде при низкоинтенсивном облучении (модели пространственного заряда, модель мелких ловушек) [3, 7–9], и модели увеличения темпа встраивания поверхностных состояний на границе кремния и пассивирующего оксида при снижении мощности дозы (бимолекулярные модели, модели, основанные на решении уравнений переноса протонов и дырок в оксиде) [3, 7, 10, 11]. Однако оба этих подхода не всегда приводят к корректному результату.
Все предлагаемые выше подходы базируются на рассмотрении процессов, связанных только с накоплением заряда в оксидах или на поверхностных состояниях, т. е. анализируют только поверхностные радиационные эффекты. Поэтому возникает резонный вопрос, почему подобные эффекты отсутствуют в МОП-структурах, где также возможны аналогичные процессы. Ответ надо искать в различиях принципов работ этих приборов. Основное отличие МОП-транзисторов от биполярных заключается в том, что деградация последних зависит не только от процессов, происходящих в оксида и на границе раздела, но и также в объеме самой полупроводниковой структуры при вводе радиационных дефектов. Именно в этом направлении, скорее всего, и надо искать объяснение эффекта ELDRS.
2. ПОДПОРОГОВОЕ ДЕФЕКТООБРАЗОВАНИЕ
Классический подход к моделированию радиационных дефектов (структурных повреждений) в полупроводниках базируется на пороговом характере образования первичных радиационных дефектов (РД) – вакансий и междоузлий, которые вследствие диффузии перемещаются и образуют стабильные радиационные дефекты: A-центры, E-центры, дивакансии и т. д. [12–14]. Вследствие относительно высокой пороговой энергии дефектообразования в кремнии (около 15 эВ) образование первичных дефектов возможно только при относительно высоких энергиях частиц ионизирующего излучения (более сотен кэВ для гамма- и электронного излучений), поэтому относительно мягкое рентгеновское излучение не способно вызывать структурные повреждения.
Однако по мере увеличения уровня легирования до концентраций порядка 10¹⁹–10²⁰ см⁻³ структура кристаллической решетки сильно изменяется, что может приводить к образованию РД в подпороговой области, т. е. при энергиях значительно меньших, чем энергия, необходимая для классических структурных повреждений. Механизмы создания дефектов в этих случаях называют подпороговыми и связывают с возникновением и распадом различного типа электронных возбуждений: рентгеновских, возникающих при ионизации внутренних уровней атомов, плазмонов, оптических экситонов и электронно-дырочных пар [14, 15]. Генерация стабильных дефектов в атомной структуре материала при распаде электронных возбуждений возможна, если выполняются следующие условия [15]:
- – энергия электронного возбуждения больше энергии создания пары вакансия – междоузлие;
- – среднее время жизни локализованного электронного возбуждения в узле больше периода тепловых колебаний атомов.
Например, возможное образование подпороговых радиационных дефектов в относительно сильнолегированных структурах для ионизационного механизма связано с передачей электрону k-оболочки энергии порядка 6 кэВ [16]. Таким образом, в сильнолегированных областях (эмиттер, сток/исток и т. д.) потенциально возможна генерация первичных РД при энергиях частиц ионизирующего излучения в районе единиц килоэлектронвольт.
3. ФОРМИРОВАНИЕ РАДИАЦИОННЫХ ДЕФЕКТОВ В ПРИПОВЕРХНОСТНОЙ ОБЛАСТИ
Образование первичных РД в эмиттерной области практически не приведет к изменениям электрических характеристик биполярного транзистора в силу как самой изначальной дефектности этой области, так и слабого влияния ее характеристик на усилительные свойства прибора. Но из этой области первичные РД могут за счет диффузии перемещаться в соседнюю базовую область, в которой роль подпороговых эффектов незначительна из-за существенно меньшей концентрации легирования.
Таким образом, при наличии дополнительного механизма рекомбинации на РД увеличение тока базы ∆Ib можно записать в следующем виде:
∆Ib ≈ ∆Igp + ∆Is ,
где ∆Igp – ток в обедненной области эмиттерного перехода у поверхности; ∆Is – приращение поверхностного тока, изменению которого и посвящены работы по исследованию эффектов низкой интенсивности [6, 7].
В данной работе рассмотрим только влияние образующихся подпороговых РД на величину тока ∆Igp при следующих допущениях: генерация РД происходит только в эмиттерной области, одномерное приближение, диффузия имеет место только в приповерхностной области. Другими словами, увеличение тока ∆Igp происходит на рекомбинационных центрах в области пространственного заряда (ОПЗ) эмиттерного перехода, которые образуются из-за диффузии первичных РД (возможно и стабильных РД), генерируемых в эмиттерной области (рис. 1).
Рис. 1. Формирование подпороговых радиационных дефектов в высоколегированной области эмиттера: 1 – диффузия первичных РД; 2 – создание стабильных РД; 3 – аннигиляция первичных РД; ⚫ – междоузлие; ⚪ – вакансия; ⊕ – ядро атома кристаллической решетки.
Под действием облучения в высоколегированной приповерхностной области эмиттера образуются первичные РД: вакансии и междоузлия. Их концентрацию Nsrd без учета процессов их аннигиляции можно оценить из следующего соотношения:
Nsrd ≈ Pγgsrdt, (1)
где Pγ – мощность поглощенной дозы; gsrd – скорость генерации подпороговых радиационных дефектов; t – время облучения.
При энергии образования подпороговых РД порядка нескольких килоэлектронвольт gsrd ~ 10¹⁰–10¹¹ пар/(рад(Si) × см³).
Заметные изменения тока базы биполярного транзистора при облучении гамма-квантами происходит при уровнях поглощенной дозы около/выше 10 крад (Si). Если же брать только дефектообразование, то подобные же изменения наблюдаются при концентрации первичных РД на уровне 10¹⁵ см⁻³. Нетрудно заметить из соотношения (1), что данная концентрация по порядку величины как раз и получается при уровнях поглощенной дозы в районе 10 крад(Si).
Очевидно, что часть этих подпороговых РД в процессе воздействия рекомбинируют между собой либо создают стабильные радиационные дефекты непосредственно в эмиттерной области (см. рис. 1, процессы 2 и 3). Тем не менее часть из них диффундирует в ОПЗ эмиттерного перехода (см. рис. 1, процесс 1). В первом приближении можно считать, что диффузия идет из источника постоянной генерации РД [16]. В общем случае провести точные количественные оценки затруднительно из-за отсутствия достоверных сведений по коэффициентам диффузии междоузлий и вакансий в относительно высоколегированной приповерхностной области. При этом на этот процесс также могут оказывать влияние радиационно-стимулированная диффузия, зарядовые состояния первичных РД, наличие сильного электрического поля и т. д.
Грубые оценки коэффициента диффузии можно получить из имеющихся экспериментальных данных по эффектам низкой интенсивности в биполярных структурах. Предположим, что при Pγ = 1 рад(Si)/с после облучения суммарной дозой равной 10 крад(Si) в деградацию коэффициента усиления биполярного транзистора дают равный вклад обе составляющих тока базы. Это условие, например, достигается при средней концентрации первичных РД в приповерхностной ОПЗ эмиттерного перехода на уровне 3 × 1014 см⁻³. Оценки показывают, что при толщине ОПЗ (с учетом влияния части приповерхностной пассивной базы) это условие соблюдается при коэффициенте диффузии первичных радиационных дефектов на уровне 10–14–10–15 см²/с, что является вполне приемлемой величиной.
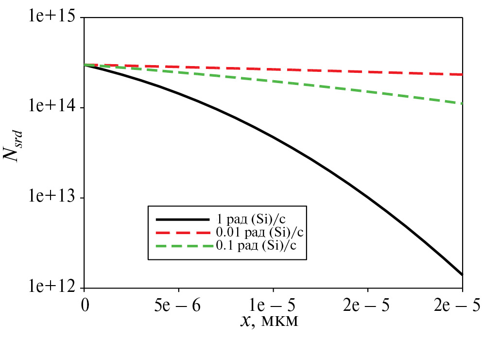
Рис. 2. Изменения усредненной концентрации первичных РД при разных интенсивностях облучения для чувствительной области шириной равной 0.2 мкм.
На рис. 2 представлены графики зависимостей изменений усредненных концентраций первичных РД от времени при различных мощностях дозы для чувствительной области шириной 0.2 мкм. При оценках использовались следующие величины: gsrd = 3 ×1010 пар/(рад(Si) × см³), коэффициент диффузии 10–14 см²/с и суммарная поглощенная доза 10 крад(Si). Нетрудно заметить, что хотя зависимости ведут себя практически одинаково, конечное значение усредненной концентрации РД внутри чувствительной области имеет максимальное значение при наименьшем значении мощности поглощенной дозы. В рассматриваемом примере при достижении интенсивности излучения менее 0.1 мрад(Si)/с изменение средней концентрации фактически уже не изменяется, что свидетельствует о насыщении в изменении деградации от Pγ.
Рис. 3. Изменения профилей распределения первичных РД в момент окончания облучения для разных интенсивностей.
Данный вывод наглядно иллюстрирует рис. 3, на котором представлены распределения первичных РД по координате в момент окончания облучения. Таким образом, в этот момент усредненная концентрация первичных РД в чувствительной области увеличивается при уменьшении мощности поглощенной дозы. Отметим, что с ростом температуры эффекты низкой интенсивности будут иметь место при более высокой мощности дозы излучения. В предлагаемой модели данная зависимость объясняется ростом коэффициента диффузии при повышении температуры. По сути дела, предлагаемая модель сразу позволяет объяснить сразу несколько наблюдаемых экспериментальных результатов: увеличение чувствительности в биполярных структурах при уменьшении интенсивности ионизирующего излучения, отсутствие подобного эффекта в МОП-транзисторах, наличие насыщения при уменьшении мощности поглощенной дозы, ускорение процессов при повышении температуры.
Скорее всего, после облучения относительно высокой интенсивностью будет иметь место продолжение диффузионных процессов при больших временах. Однако при этом надо учесть, что уже отсутствует генерация первичных РД, нет условия для радиационно-стимулированной диффузии и появляется градиент диффузии в обратную сторону.
Таким образом, при достаточно грубых приближениях на полуколичественном уровне получено, что эффекты низкой интенсивности и их характерные зависимости могут быть объяснены учетом подпорогового дефектообразования в высоколегированной эмиттерной области и последующей диффузией РД в базовую область.
4. ИЗМЕНЕНИЕ ТОКА БАЗЫ
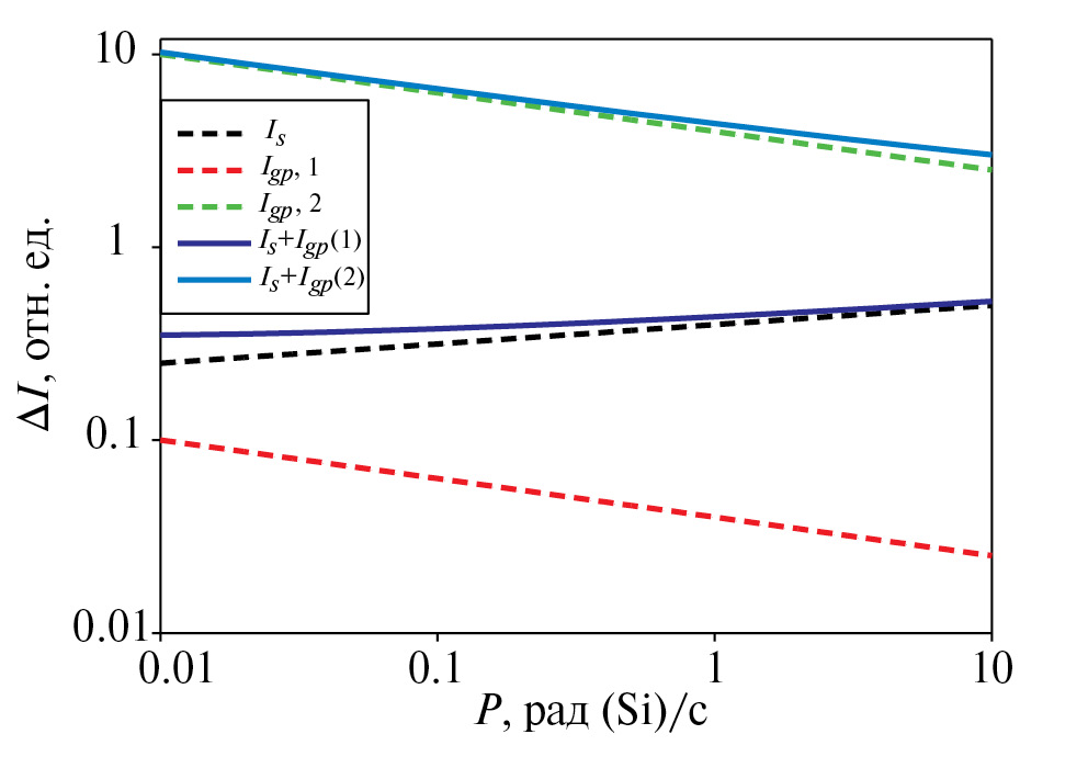
Предлагаемый подход можно было бы успешно апробировать для всех биполярных ИС, если бы приращение составляющей тока базы в приповерхностной области ОПЗ эмиттерного перехода доминировало над всеми другими компонентами. Однако существенным дополнительным фактором, усложняющим проведение количественных оценок, является влияние приращения поверхностного тока базы ∆Is [17]. Его величина может быть как больше, так и меньше ∆Igp, при этом соотношение между ними изменяется при разных интенсивностях. Если предположить, что, как и в обычных МОП-структурах, приращение ∆Is уменьшается при снижении интенсивности, а ∆Igp – увеличивается, то можем получать совершенно разные зависимости уровня стойкости биполярных ИС от мощности поглощенной дозы (рис. 4).
Рис. 4. Возможные изменения приращения суммарного тока базы при различных соотношениях между его составляющими.
В первом примере доминирует ток поверхностной рекомбинации, поэтому суммарный ток при увеличении мощности дозы может быть постоянным или даже немного увеличиваться, как показано на рис. 4. Во втором случае имеет место доминирование тока рекомбинации на РД, вследствие чего уровень стойкости падает при уменьшении интенсивности излучения. Другими словами, здесь имеет место классический ELDRS-эффект.
Точно учесть вклад каждой составляющей тока базы достаточно затруднительно, так как большинство радиационно-чувствительных параметров не известны и трудно контролируемы. Например, можно предположить, что скорость генерации первичных РД зависит от концентрации легирования (профиля легирования), а вклад поверхностных эффектов – от способов получения оксида. Тем не менее можно выявить причины, влияющие на вклад каждой составляющей.
В первую очередь это относится к площади поверхности биполярного транзистора, чувствительной к каждой компоненте. Для тока ∆Igp эта величина определяется площадью ОПЗ, окружающей эмиттерный переход по поверхности биполярного транзистора. Возможно некоторое увеличение этой площади за счет небольшого вклада пассивной базы, в том числе и областей около высоколегированных p⁺– областей, используемых для предотвращения утечек. Кроме этого надо учесть, что величина ∆Igp в сильной степени зависит от уровня легирования эмиттера, т. е. от условий возникновения подпороговых РД. Можно предположить, что при уровнях легирования менее 10¹⁸–10¹⁹ см⁻³ этим механизмом можно пренебречь.
Ток поверхностной рекомбинации ∆Is зависит от общей площади поверхности, контактирующей с эмиттерным переходом и базовой областью. Помимо этого эта величина в сильной степени определяется параметрами оксида и может отличаться для пассивирующих и изолирующих оксидов. Таким образом, вклад каждой составляющей в значительной степени будет зависеть от технологических особенностей изготовления конкретных биполярных ИС. Другими словами, в ряде биполярных ИС может иметь место ELDRS-эффект (∆Igp > ∆Is), в других – он отсутствует (∆Igp < ∆Is).
Рис. 5. Сравнение расчетных и экспериментальных значений изменений тока базы при облучении с разными интенсивностями: а – входной ток операционного усилителя LM108A; б – входной ток компаратора LM111, облучение при T = 90°C [5].
Тем не менее там, где эффекты ELDRS проявляются явно, можно пренебречь составляющей ∆Is и оценки проводить только с учетом ∆Igp. На рис. 5 в качестве примера представлено сравнение расчетных и экспериментальных зависимостей [5] с использованием предлагаемой модели. При оценках предполагалось, что
∆Igp = Kr, Nsrd_av ,
где Kr – коэффициент радиационной чувствительности биполярного транзистора по изменению тока базы при вводе РД.
Параметры Kr, Nsrd_av подбирались из соответствия расчетных и экспериментальных зависимостей. Из представленных зависимостей видно, что предлагаемый подход удовлетворительно описывает экспериментальные результаты, что позволяет предлагать его для дальнейшего развития по моделированию эффектов ELDRS в биполярных структурах ИС.
ЗАКЛЮЧЕНИЕ
Результаты представленной работы позволяют выделить следующие основные выводы:
- – образование подпороговых радиационных дефектов в высоколегированной эмиттерной области с последующей их диффузией в приповерхностную область базы может иметь доминирующее значение для моделирования эффекта увеличения радиационной чувствительности биполярных структур с уменьшением мощности дозы (ELDRS-эффект);
- – происходит одновременное действие двух противоположных тенденций в составляющих тока базы: увеличение тока базы за счет роста рекомбинации на вводимых радиационных дефектах и невозрастание поверхностного тока базы при уменьшении мощности поглощенной дозы в общем случае может приводить к различным зависимостям тока базы от интенсивности излучения;
- – сравнение расчетных результатов приближенного моделирования с экспериментальными данными показывает их удовлетворительное соответствие, что свидетельствует о корректности используемых приближений и влиянии подпороговых механизмов дефектообразования на ELDRS-эффект.
Авторлар туралы
A. Chumakov
National Research Nuclear University MEPhI (Moscow Engineering Physics Institute), Moscow JSC Specialized Electronic Systems
Хат алмасуға жауапты Автор.
Email: aichum@spels.ru
Ресей, Moscow
Әдебиет тізімі
- Nowlin R.N. et al. Hardness assurance and testing issues for bipolar/BiCMOS devices // IEEE Trans. Nucl. Sci. 1993. V. 40. No. 6. P. 1686–1691.
- Ionizing radiation effects in MOS devices and circuits / Ed. Ma T.-P., Dressendorfer P. V. New York: John Wiley&Sons, 1989. 608 p.
- Adell P.C., Boch J. Dose and Dose-Rate Effects in Micro-Electronics: Pushing the Limits to Extreme Conditions // 2014 IEEE NSREC. Short Course Notebook “Radiation Environments and Their Effects on Devices From Space to Ground”. Paris, France, 2014. P. II-1—II-102.
- Belyakov V.V. et al. Methods for the prediction of total-dose effects on modern integrated semiconductor devices in space: a review // Russian Microelectronics. 2003. V. 32. No. 1. P. 25–38.
- Pershenkov V.S., Skorobogatov P.K. Ulimov V.N. Dose effects in modern microelectronics products: Tutorial. NRNU MEPhI, 2011172 p. [in Russian].
- Pershenkov V.S. Dose effects in microelectronics products under irradiation // Radiation Hardness of electronic components / Ed. by. Chumakov A. I. NRNU MEPhI, 2015. 512 p. [in Russian]. P. 93–130.
- Pease R.L. et al. ELDRS in Bipolar Linear Circuits: A Review // IEEE Trans. Nucl. Sci. 2009. V. 56. No. 4. P. 1686–1691.
- Fleetwood D.M. et al. Physical mechanisms contributing to enhanced bipolar gain degradation at low dose rates // IEEE Trans. Nucl. Sci. 1994. V. 41. No. 6. P. 1871–1883.
- Fleetwood D.M. et al. Radiation effects at low electric fields in thermal, SIMOX, and bipolar-base oxides // IEEE Trans. Nucl. Sci. 1996. V. 43. No. 6. P. 2537–2546.
- Rashkeev S.N. et al. Physical model for enhanced interface-trap formation at low dose rates. // IEEE Trans. Nucl. Sci. 2002. V. 49. No. 6. P. 2650–2655.
- Pershenkov V.S. et al. Conversion model of enhanced low-dose-rate sensitivity for bipolar ICs // Russian Microelectronics. 2010. V. 39. No. 2. P. 91–99.
- Chumakov A.I. Space Radiation Effects in ICs. Moscow: Radio I Svyaz, 2004. 320 p. [in Russian].
- Vavilov V.S., Kiselev V.N., Mukashev B.F. Defects in silicon and on its surface. Moscow: Nauka, 1990. 216 p. (in Russian).
- Yemtsev V.V., Mashovets T.V. Impurities and point defects in semiconductors. Moscow: Radio I Svyaz, 1981. 248 p. [in Russian].
- Alyoshina L.A. The structure of amorphous materials and the nature of defects in them. Electronic Tutorial. PetrSU2016 [in Russian].
- Vavilov V.S., Kekelidze N. P., Smirnov L. S. The effect of radiation on semiconductors: Tutorial. Moscow: Nauka, 1988. 182 p. [in Russian].
- Sze. S.M. Physics of Semiconductor Devices. Second Edition. John Wiley and Sons Ltd, 1981.
- Pershenkov V.S. et al. Calculation of surface recombination current in bipolar microelectronic structures subjected to ionizing radiation // Russian Microelectronics. 2009. V. 38. No. 1. P. 17–29.
Қосымша файлдар







