CNOT Quantum Gate Based on Spatial Photonic Qubits Under Resonant Electro-Optical Control
- Authors: Tsukanov A.V.1, Kateev I.Y.1
-
Affiliations:
- Valiev Institute of Physics and Technology of the Russian Academy of Sciences
- Issue: Vol 53, No 4 (2024)
- Pages: 297-310
- Section: QUANTUM TECHNOLOGIES
- URL: https://journal-vniispk.ru/0544-1269/article/view/269772
- DOI: https://doi.org/10.31857/S0544126924040022
- ID: 269772
Cite item
Full Text
Abstract
A theoretical model of a quantum node that implements the two-qubit CNOT operation with use of photonic qubits with spatial encoding is considered. Each qubit is represented by a pair of modes supporting an arbitrary superposition of single-photon states. The active element of the node is a single or double quantum dot with a tunable frequency, which coherently exchanges an energy quantum with the modes. The spectral characteristics of the quantum node elements are simulated. The probability of implementation of a controlled inversion of the qubit state is calculated depending on the system parameters.
Keywords
Full Text
ВВЕДЕНИЕ
Нанофотонные компоненты (волноводы, однофотонные источники, детекторы, повторители, высокодобротные микрорезонаторы и др.), разработанные за последние десять лет, стали неотъемлемыми частями многих квантовых устройств [1–5]. На их основе создаются квантовые сети [6–8], чипы [9–12] и даже фотонные процессоры [13–15]. Главные достоинства этих объектов — относительная простота изготовления, хорошая совместимость с другими квантовыми системами (атомами, молекулами, квантовыми точками, наномеханическими резонаторами), возможность оперировать с коррелированными многофотонными состояниями при комнатной температуре. Основная проблема, стоящая на пути создания полномасштабного оптического квантового компьютера, заключается в слабом взаимодействии фотонов-кубитов друг с другом напрямую, что создает серьезное препятствие для реализации нетривиальных двухкубитных вентилей. В ранних теоретических схемах выполнение двухкубитных операций на фотонах обычно подразумевало использование естественной нелинейной среды (ячейки Керра) [16, 17]. Однако условный керровский сдвиг фазы двухфотонной компоненты по отношению к однофотонным состояниям оказывается слишком малым и, кроме того, данная среда характеризуется сильным поглощением (отношение числа прошедших фотонов к поглощенным составляет 1 к 50).
Принципиально иной подход к реализации фотонных схем квантовых вычислений был изложен в работах [18–20]. Он базируется на однокубитных (линейных) операциях и серии промежуточных измерений вспомогательных кубитов. Данные алгоритмы относятся к классу вероятностных, поскольку детектируемое состояние вспомогательных кубитов имеет вид суперпозиции их фоковских состояний, и компонента, сигнализирующая о выполнении двухкубитного вентиля, имеет вероятность меньше единицы. Различные варианты оптимизации, в которых задействовано явление квантовой телепортации, требуют дополнительных ресурсов в виде достаточного количества запутанных фотонных пар и отдельных блоков, отвечающих за коррекцию ошибок. О ряде успехов в этом направлении сообщается в работах [21–23].
Еще один вариант выполнения нетривиальных двухкубитных операций подразумевает включение в оптическую схему искусственного нелинейного элемента. В самом простом случае данный объект представляет собой квантовую двухуровневую систему, способную когерентно взаимодействовать с одиночными фотонами. В данной работе рассматривается алгоритм выполнения двухкубитной операции “контролируемое-НЕ” (controlled-NOT, CNOT) на фотонных кубитах с пространственной (двухрельсовой) кодировкой. Квантовый узел, обеспечивающий взаимодействие кубитов, формируется из одной или нескольких квантовых точек (КТ), которые обмениваются квантом энергии с фотонными модами [24–26]. Оптическая активность КТ и ее влияние на прохождение одного фотона через узел зависит от того, в каком электронном (основном или возбужденном) состоянии она находится. В свою очередь, состояние КТ определяется тем, был ли поглощен ею другой фотон или нет. Дополнительным инструментом контроля является выбор ортогональных направлений поляризации фотонов для контролирующего и контролируемого кубитов. В этом случае фотоны разных кубитов взаимодействуют с разными переходами КТ в соответствии с правилами отбора. Кроме того, разработана схема с двумя КТ, связанными за счет взаимодействия Ферстера. Она позволяет увеличить расстояние между модами и тем самым подавить неконтролируемый фотонный перенос внутри контролируемого кубита.
Выбор волноводов в качестве носителей для кубитов позволяет естественным образом обеспечить поступление и отвод фотонов из квантового узла. Существуют различные виды волноводов, такие как простейшие структуры прямоугольного и круглого сечения [27], волноводы на основе фотонных кристаллов (ФК) [28], а также сегментированные волноводы [29], которые находят применение в современной нанооптике. Например, благодаря тому, что в ФК зависимость частоты от волнового вектора фотона (дисперсия) является нелинейной, волноводы на их основе могут использоваться как замедлители света [30, 31]. В работе [32] продемонстрирована конструкция оптического фильтра, базирующегося на оптическом взаимодействии обычного волновода с ФК-резонатором. Взаимодействие мод волновода с квантовой системой, которая может поглощать/ излучать фотоны, может существенно повлиять на его оптические свойства. Однофотонный транспорт через волновод, где находится трехуровневый атом, теоретически исследовался в работе [33]. Было показано, что наличие такого элемента внутри волновода приводит к возникновению дополнительных минимумов в спектре пропускания. В нашей работе для усиления взаимодействия КТ с оптическими модами в квантовом узле мы предлагаем поместить квантовые точки в высокодобротные микрорезонаторы (МР), которые, благодаря фотонному перескоку, в свою очередь взаимодействуют с волноводами кубитов. С помощью численного решения уравнений Максвелла методом конечных разностей во временной области проведено моделирование спектральных характеристик элементов квантового узла и изучено влияние геометрических параметров системы на его функциональность.
ОПИСАНИЕ МОДЕЛИ
Принцип кодирования квантовой информации с помощью однофотонных (фоковских) состояний известен уже почти три десятилетия. Наиболее простым вариантом такого представления кубита является отождествление его логических состояний “ноль” и “единица” с количеством фотонов n = 0 и n = 1 в моде волновода или МР [1]. Другой способ кодировки базируется на выборе в качестве логических состояний кубита однофотонных комбинаций {n1 = 1, n2 = 0} и {n1 = 0, n2 = 1} двух мод [34–36]. Эти моды могут поддерживаться одним волноводом (МР) и иметь ортогональную поляризацию или принадлежать двум волноводам (МР), находящимся на определенном расстоянии друг от друга. Несмотря на более сложный дизайн, двухмодовый вариант фотонного кубита обладает несколькими важными преимуществами по сравнению с одномодовым. Во-первых, его логические состояния имеют одинаковую энергию, что исключает набег их относительной фазы. Во-вторых, размещение мод на определенном расстоянии значительно расширяет возможности управления кубитом. В-третьих, вся совокупность однокубитных вращений может быть выполнена с использованием средств линейной оптики (светоделителей и фазовращателей) при комнатной температуре. Трудность заключается в отсутствии подходящего материала с нелинейными свойствами (эффектом Керра), позволяющего реализовать условную двухкубитную операцию, которая входит в один из универсальных наборов.
Одним из подходов к решению данной проблемы является создание искусственной нелинейной среды, сформированной из оптического МР и квантовой двухуровневой системы (свободный атом, полупроводниковая КТ, дефект в кристалле) [37–39]. Располагая такой объект на пути движения фотона, можно добиться его когерентного поглощения двухуровневой системой, после чего она уже не может поглотить второй фотон. Таким образом, эволюция второго фотона зависит от прохождения первого (контролирующего) фотона через систему. Используя данный принцип и дополняя его некоторыми условиями, мы разработали схему реализации двухкубитного вентиля “контролируемое-НЕ” на фотонных кубитах с пространственной кодировкой. Пусть контролирующий (контролируемый) кубит представлен двумя невзаимодействующими волноводами, каждый из которых поддерживает одну моду с x(y) поляризацией. Трехуровневая КТ с основным электронным состоянием и двумя возбужденными состояниями и расположена вблизи волноводов контролируемого кубита и волновода контролирующего кубита, соответствующего состоянию “ноль”. Переход в КТ связан с модой x этого волновода, а переход связан с модами y двух волноводов контролируемого кубита. Частоты Раби обмена квантом между модами и КТ для соответствующих переходов равны Ω0,x и Ω0(1),y. Один из возможных вариантов реализации схемы показан на рис. 1, где КТ расположена в пучности моды микрорезонатора и косвенно (через оптическую связь МР и волноводов) взаимодействует с модами волноводов контролирующего и контролируемого кубитов. Гамильтониан системы имеет вид
(1)
где ω0(1), c и ω0(1), t — частоты мод волноводов, кодирующие логическое состояние 0(1) контролирующего (c) и контролируемого (t) кубитов. Здесь мы опустили индексы, указывающие на поляризацию мод. Кроме того, выражение (1) учитывает и нежелательный процесс прямого фотонного туннелирования между волноводами контролируемого кубита с частотой Раби J.
Рис. 1. Схема квантового узла, который реализует двухкубитную операцию CNOT на фотонных кубитах. Контролирующий (контролируемый) кубит представлен двумя волноводами, каждый из которых поддерживает одну моду с x(y) поляризацией. Их энергии взаимодействия J0, x(y) предполагаются малыми. Квантовые точки КТ А и КТ В расположены в пучностях мод Ex(y),1 и Ex(y),2 микрорезонаторов МР 1 и МР 2. Оба МР обмениваются фотонами друг с другом, волноводами контролируемого кубита и волноводом контролирующего кубита со скоростями J, Jy и Jx, соответственно. Электронные переходы между состояниями g и px(y) в каждой из КТ косвенно связаны с соответствующими модами волноводов через МР. Прямой обмен энергией между КТ происходит под влиянием взаимодействия Ферстера со скоростью ΩF
Анализируя гамильтониан (1), нетрудно увидеть, что его компонента, связанная с контролируемым кубитом, описывает обмен одиночным фотоном между волноводами. В данном случае КТ играет роль светоделителя, работа которого зависит от состояния контролирующего кубита. В резонансном режиме (ω0, t = ω1, t = ωy), когда заселенность возбужденного состояния равна нулю только в моменты времени T = π(k+1)/Ωy, КТ функционирует как стробоскопический инвертор (NOT). В нерезонансном режиме (ω0, t = ω1, t, |ωy — ω0(1), t| >> ωy) вероятность возбуждения КТ не превышает 0.001–0.01, а заселенность практически целиком сосредоточена в логическом подпространстве фотонного кубита. Это позволяет получить произвольную суперпозицию базисных состояний кубита. Контроль динамики волноводов подразумевает или подавление прямого обмена энергией между ними, или переход к новому базису, представленному четной и нечетной суперпозициями однофотонных состояний их мод. Поскольку величина J (интеграл перекрытия полей мод) экспоненциально убывает с расстоянием между ними, то, располагая волноводы на значительном удалении, можно ослабить их фотонную связь. Однако при этом будут уменьшаться и частоты Раби, пропорциональные амплитуде поля моды в области размещения КТ. С другой стороны, смена базиса требует включения в схему дополнительных элементов на входе и выходе (интерферометры и поляризаторы).
Альтернативный вариант дизайна предполагает замену одной КТ двумя (КТ А и КТ В) с близкими параметрами, которые связаны друг с другом благодаря эффекту Ферстера [40–43]. Если частоты переходов в данных КТ находятся в резонансе, то электронное возбуждение будет осциллировать между КТ с частотой, соответствующей энергии Ферстера ΩF. Тогда, фиксируя положение КТ А (В) вблизи первого (второго) волновода и увеличивая расстояние между волноводами L, мы сохраняем величину частоты Раби Ω0(1), y, подавляя прямую фотонную связь между волноводами. В самом деле, если J зависит от L экспоненциально, то ΩF ведет себя как 1/L3. Электронное возбуждение в двойной симметричной квантовой точке (далее — ДКТ) соответствует одной из суперпозиций возбужденных состояний отдельных КТ, где индекс А (В) обозначает состояние, локализованное в соответствующей КТ. Данные состояния являются собственными состояниями гамильтониана
(2)
с энергиями ±ΩF. Таким же образом можно организовать непрямое взаимодействие между волноводом контролирующего кубита и светоделителем путем размещения в его окрестности третьей КТ С, возбужденное состояние которой будет гибридизироваться с КТ А с образованием суперпозиций . Однако следует помнить, что добавление новых КТ требует и дополнительных средств контроля над их состоянием (затворы).
Описанный алгоритм предполагает, что фотон контролирующего кубита взаимодействует с узлом, реализующим вентиль CNOT, раньше, чем фотон контролируемого кубита. Время запаздывания ∆T не может быть меньше, чем время Tx = π/Ω0, x перехода фотона из волновода в электронное возбуждение КТ, и при этом оно должно быть значительно короче, чем минимальное время потери когерентности, то есть Tx < ∆T << min(τdecoh). После перехода КТ в возбужденное состояние необходимо отстроить частоту ωx от частоты ω0, c волновода, чтобы исключить обратный переход. Теперь, когда состояние КТ связано с состоянием контролирующего кубита, в схему вводится фотон контролируемого кубита. Он или остается в исходном волноводе, если КТ возбуждена, или переходит в соседний волновод за время Ty = π/Ω0(1), y, если КТ находится в основном состоянии. Далее мы предполагаем, что Ωy = Ω0, y = Ω1, y. На завершающем этапе алгоритма возбуждение из КТ возвращается назад в моду волновода после выключения импульса отстройки, восстанавливая тем самым контролирующий кубит.
Чтобы описать прохождение фотонов через узел, мы зададим частоты Раби и отстройки как функции времени в виде прямоугольных импульсов:
(3)
Зависимость вектора состояния системы от времени находится путем решения уравнения Шредингера
(4)
с гамильтонианом (1). Вектор состояния представлен суперпозицией базисных состояний электрон-фотонной системы с зависящими от времени коэффициентами,
(5)
где двухкубитные базисные состояния связаны с фоковскими состояниями четырех волноводов, представляющих контролирующий и контролируемый кубиты, следующим образом:
(6)
В соответствии со схемой, показанной на рис. 1, состояние “ноль (единица)” соответствует нахождению фотона в правом (левом) волноводе. Вектор на левой (правой) позиции обозначает вакуумное состояние обоих волноводов контролирующего (контролируемого) кубита, то есть
(7)
Здесь учтено, что фотоны мод с разной поляризацией возбуждают электронные переходы в КТ, разрешенные правилами отбора, и не взаимодействуют между собой. В следующем разделе мы получим решения уравнения (4), описывающие процесс контролируемой инверсии, для нескольких вариантов дизайна квантового узла.
ИНВЕРТИРОВАНИЕ ФОТОННОГО КУБИТА С ПОМОЩЬЮ ОДНОЙ КВАНТОВОЙ ТОЧКИ
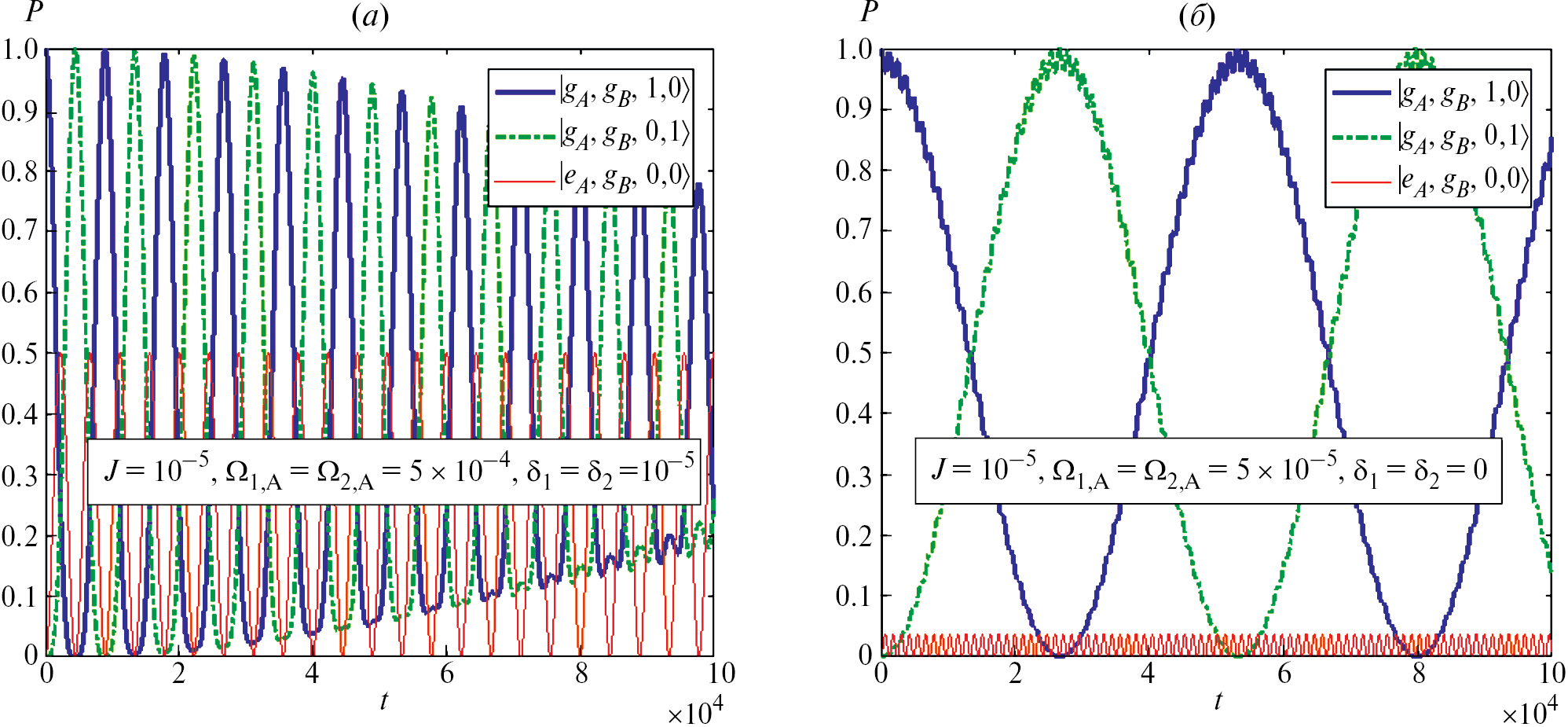
Начнем с рассмотрения модели узла, где перенос фотона между модами контролируемого кубита, соответствующий однокубитному вентилю NOT, производится через одиночную КТ. Оптическая симметричная однофотонная Λ-схема дипольных переходов связывает состояния , и . Помимо оптического переноса фотона, который возможен, только если КТ находится в основном состоянии, присутствует и прямой туннельный перенос, совершающийся без участия КТ. Чтобы исключить его, следует увеличить расстояние между пучностями мод. При этом неизбежно уменьшаются и частоты Раби, так как КТ, по предположению, равноудалена от каждой из мод. Влияние данного процесса на контролируемую динамику заселенностей электрон-фотонных состояний узла приводит к изменению длительности операции. На рис. 2 показаны графики зависимостей заселенностей от времени для случаев, когда скорость прямого переноса J много меньше частоты Ωy, и когда эти параметры сопоставимы. Частоты переходов КТ и мод волновода совпадают (резонанс). Ниже мы используем обозначения для модели с двумя КТ (А и В), где состояния , и соответствуют состояниям только что введенной Λ-схемы (позиция для фотона контролирующего кубита, находящегося в состоянии 1, не показана). Частоты Раби равны ΩA = ΩB = Ωy. Как можно видеть, перенос фотона между модами через КТ А имеет место в обоих случаях, но быстрые оптические осцилляции Раби модулируются секулярным процессом фотонного туннелирования. Если J << Ω, то это приводит к уменьшению первого максимума заселенности для конечного состояния (рис. 2, а). Увеличение J сопровождается сокращением периода медленных секулярных осцилляций (рис. 2, б), а также плавным снижением заселенности промежуточного состояния с возбужденной КТ А. Дальнейший рост скорости фотонного туннелирования по сравнению с частотами Раби приводит к блокаде обмена энергией между КТ и модами, исключая влияние электронного состояния КТ на взаимодействие мод. Поскольку мы продолжаем работать в базисе с модами невзаимодействующих волноводов, то желаемый результат (контролируемый КТ А перенос фотона между ними) может быть достигнут, только если параметр J существенно меньше, чем частоты Раби. Все последующие данные получены для этого случая.
Рис. 2. Графики зависимостей заселенностей базисных состояний от времени для схемы непрямого переноса фотона между волноводами контролируемого кубита через КТ А. Учитывается нежелательный эффект прямого фотонного туннелирования с малыми (а) и промежуточными (б) скоростями J. Все параметры даны в единицах частоты оптического перехода в КТ
Еще одним параметром, регулирующим эволюцию электрон-фотонных состояний узла, является отстройка (разность) δ1(2) частот КТ и мод волноводов. Если она мала по сравнению с частотами Раби (рис. 3, а), то на зависимости заселенностей от времени можно наблюдать слабую модуляцию рабиевских осцилляций, характерных для резонансной трехуровневой Λ-схемы. В случае больших отстроек графики демонстрируют преимущественно двухуровневые осцилляции заселенностей однофотонных состояний мод и высокочастотные осцилляции с малой амплитудой возбужденного состояния КТ. Увеличение отстройки вызывает сглаживание основных графиков и уменьшение амплитуды промежуточного состояния. Таким образом, можно говорить о локализации заселенности системы в подпространстве однофотонных состояний мод волноводов и о виртуальном (рамановском) возбуждении КТ А.
Рис. 3. Графики зависимостей заселенностей базисных состояний от времени для схемы непрямого переноса фотона между волноводами через КТ А с учетом малых (а) и больших (б) отстроек частот подсистем. Предполагается слабая прямая туннельная связь между однофотонными состояниями мод. Все параметры даны в единицах частоты оптического перехода в КТ
Анализируя полученные данные, мы делаем вывод о возможности контролируемой инверсии двухкубитных состояний и с помощью КТ, находящейся в основном состоянии. Серьезным препятствием остается прямой (неконтролируемый) перенос фотона между модами, обусловленный эванесцентным перекрытием их полей в области расположения КТ. Как мы выяснили, для его подавления следует увеличивать расстояние между волноводами. При этом для сохранения высокой эффективности взаимодействия мод с электронными переходами в КТ необходимо заменить одну КТ на цепочку из двух и более КТ, связанных за счет эффекта Ферстера.
ИНВЕРТИРОВАНИЕ ФОТОННОГО КУБИТА С ПОМОЩЬЮ ИСКУССТВЕННОЙ МОЛЕКУЛЫ ИЗ КВАНТОВЫХ ТОЧЕК
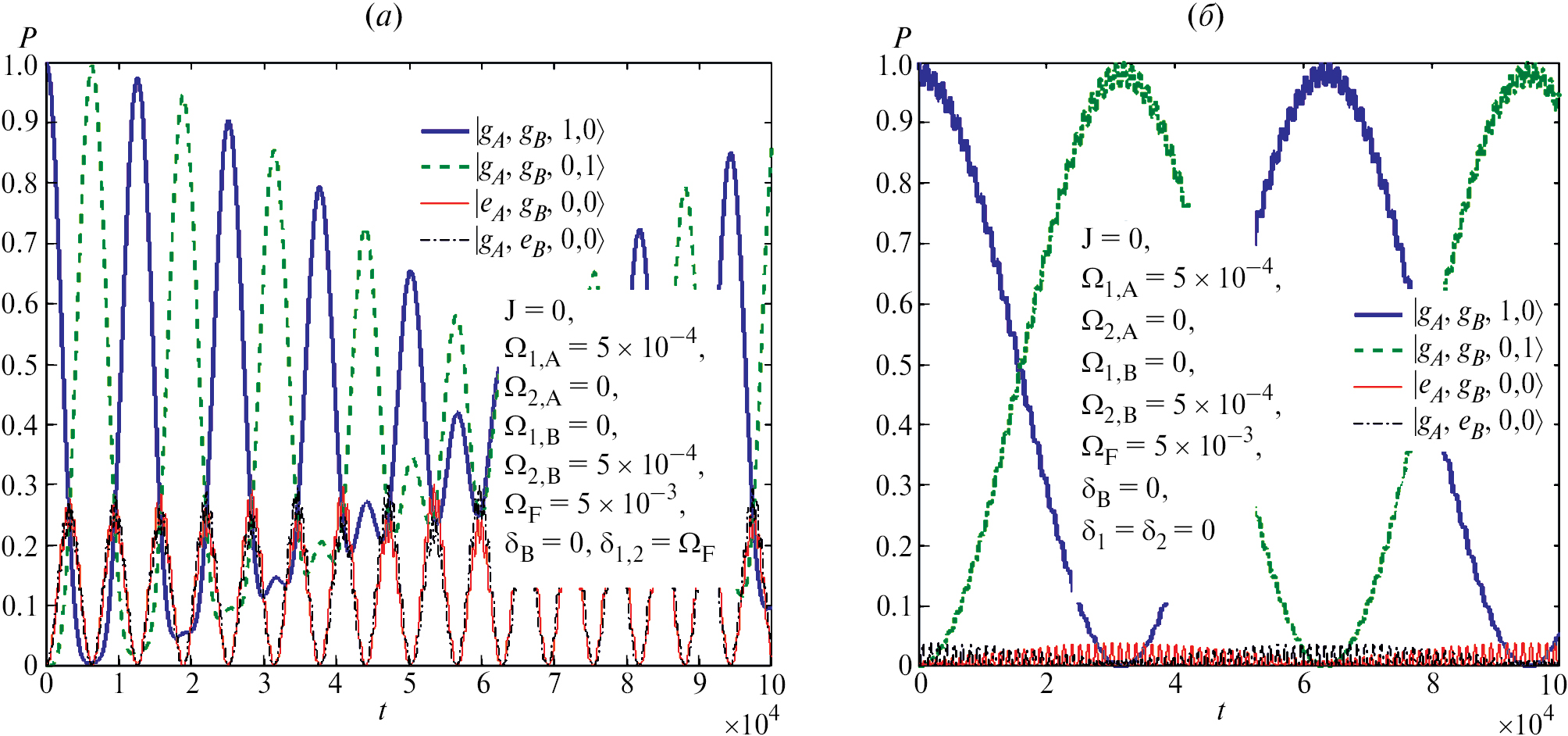
Чтобы проиллюстрировать принцип организации взаимодействия между удаленными модами через КТ-структуру, мы рассмотрим две одинаковых одноэлектронных КТ А и В. Они формируют двухэлектронную молекулу или двойную квантовую точку (ДКТ), где связь между КТ осуществляется благодаря ферстеровскому взаимодействию. При этом каждая из них обменивается энергией только с ближайшим волноводом. Будем предполагать межмодовое расстояние настолько большим, что фотонным туннелированием можно полностью пренебречь, но при этом и частота Раби, и энергия Ферстера превосходят скорости диссипативных процессов. Кроме того, нас будет интересовать режим, в котором ферстеровский обмен энергией в наноструктуре происходит значительно быстрее, чем рабиевский процесс. Как мы выяснили, это приводит к формированию гибридизированных (молекулярных) состояний КТ, частоты переходов которых смещены относительно частот изолированных КТ на величину ±ΩF. Важным параметром, влияющим на квантовую эволюцию системы, остается отстройка частот подсистем. В данном случае это частоты мод и одна из частот гибридизированных состояний. На рис. 4 приведены зависимости заселенностей от времени для резонансного и нерезонансного режимов. Четырехуровневые резонансные осцилляции наблюдаются для отстройки δ1(2) = ΩF. Здесь модуляция переноса фотона с частотой Раби обусловлена конечной энергией Ферстера, а значит, и конечной скоростью переноса электронного возбуждения внутри ДКТ. Тем не менее, уже для отношения Ω1(2)/ΩF = 0.1 амплитуда первого максимума конечного состояния (вероятность переноса фотона) близка к 1. Выбирая частоты мод волноводов равными частотам переходов в изолированных КТ, которые отстроены от молекулярных частот, мы переходим в нерезонансный режим. Как и в предыдущем разделе, такой тип квантовой эволюции соответствует локализации заселенности системы в однофотонных состояниях. Для указанного отношения энергий Раби и Ферстера максимальная заселенность возбужденных состояний ДКТ не превышает 0.03. Время переноса увеличивается примерно в 10 раз по сравнению с резонансным режимом. Добавим, что для сопоставимых значений этих энергий графики заселенностей от времени демонстрируют сложное апериодическое поведение, а вероятность переноса в общем случае значительно меньше единицы.
Рис. 4. Графики зависимостей заселенностей базисных состояний от времени для схемы непрямого переноса фотона между волноводами через ДКТ в резонансном (а) и нерезонансном (б) режимах. Предполагается сильная ферстеровская связь между одноэлектронными состояниями КТ. Все параметры даны в единицах частоты оптического перехода в КТ
ОПТИЧЕСКИЕ СВОЙСТВА ЭЛЕМЕНТОВ КВАНТОВОГО УЗЛА
Рассмотрим более детально схему, изображенную на рис. 1, исследуя оптическое взаимодействие между ее отдельными элементами и определяя их геометрические параметры. Для усиления взаимодействия КТ А и КТ В с оптическими модами поместим квантовые точки в микродисковые МР. Чтобы обеспечить ферстеровскую связь между КТ, расположим их вблизи края микродисков МР 1 и МР 2, где они будут взаимодействовать с оптическими высокодобротными модами шепчущей галереи. Волноводы с прямоугольным сечением, моды которых представляют кубиты, находятся сбоку от соответствующих микродисков на расстоянии d от их боковой поверхности. Благодаря оптической связи между микродиском и волноводом, фотоны, поступающие в систему через волноводы, косвенно взаимодействуют с КТ, возбуждая в ней электронные переходы. Будем полагать, что микродиски и волноводы изготовлены из GaAs с показателем преломления 3.4, микродиски имеют радиус R и толщину h, а волноводы — ширину b и толщину, совпадающую с толщиной микродисков. Для моделирования спектральных характеристик элементов системы мы использовали метод конечных разностей во временной области, который позволяет рассчитать частоты и пространственное распределение электромагнитного поля для взаимодействующих волноводов и микродисков.
Сначала подберем размеры одиночного волновода так, чтобы он поддерживал две ортогональные моды x и y, частоты которых близки к частотам электронных переходов и в зоне проводимости GaAs-КТ. Характерная частота таких переходов для КТ с размерами ~ 10 нм составляет примерно 0.1 эВ, что соответствует длине волны фотона λ0 = 12 мкм. Если толщина волновода составляет h = 1.77 мкм, а его ширина равна b = 1.7 мкм, 3 мкм или 6 мкм, то на оптическом спектре вблизи λ0 наблюдаются пики x(y)-мод с длиной волны λx(y) = 11.9 мкм (11.7 мкм), у которых электрическое (магнитное) поле направлено перпендикулярно поверхности волновода. Наличие других волноводов в схеме приводит к взаимодействию между ними и к возможному нежелательному перескоку фотонов между кубитами (см. п. 3). Для эффективной работы вентиля CNOT, необходимо разместить волноводы на таком расстоянии L друг от друга, чтобы величина их оптического взаимодействия J была намного меньше частот Раби Ω0, x и Ω0(1), y, а также энергии ΩF ферстеровского взаимодействия КТ А и КТ В. С целью оценки значения L мы рассчитали оптический спектр двух одинаковых волноводов и вычислили зависимость J(L) для x- и y-мод при различных значениях ширины волноводов b. В рамках модели, аналогичной приближению сильной связи [44], выражение для коэффициента J оптического взаимодействия двух одинаковых волноводов имеет вид
, (8)
где ω1(2) — частоты спектральных пиков (мод), получившихся в результате расщепления моды одиночного волновода. Число пучностей поля вдоль оси распространения света в волноводах при фиксированной длине волны λx(y) определяется их шириной: чем она больше, тем меньше пучностей (рис. 5). Распределение электрического поля для моды с частотой ω1(2) является четным (нечетным) относительно линии, проходящей между волноводами на одинаковом расстоянии от них. Видно, что для более тонких волноводов электромагнитное поле снаружи больше, а, значит и перекрытие их полей (и оптическое взаимодействие J) сильнее. Как и предполагалось, рост значения L ведет к экспоненциальному падению величины J, скорость которого слабо зависит от ширины b (рис. 6). Следовательно, можно подобрать расстояние между волноводами так, чтобы надлежащим образом ослабить их нежелательное взаимодействие, с учетом их ширины. Отметим также, что для y-моды величина J несколько больше, чем для x-моды, особенно для тонких волноводов.
Рис. 5. Графики двумерного распределения электрического поля двух волноводов толщиной h = 1.77 мкм и шириной b = 1.7 мкм при L = 9.5 мкм (вверху) и b = 3 мкм при L = 8.5 мкм (внизу) для нечетной (слева) и четной (справа) х-мод. Горизонтальными линиями обозначены границы волноводов
Рис. 6. Графики зависимостей коэффициента J оптического взаимодействия двух волноводов толщиной h = 1.77 мкм от расстояния L между ними при различных значениях ширины b для x-моды (а) и y-моды (б)
Для того чтобы фотон совершил перескок из волновода в МР, необходимо, чтобы частота одной из мод шепчущей галереи микродиска находилась вблизи частоты соответствующей x- или y-моды волновода. Поэтому мы провели моделирование спектральных характеристик микродисков с различными размерами. Микродиски с геометрическими параметрами, указанными в таблице, поддерживают ТМ-моду (x-моду) и ТЕ-моду (у-моду) с близкими, но не равными частотами. Несмотря на то, что объем микродисков различается на 15%, излучательная добротность x- и y- мод более толстого диска на порядок больше. Это означает, что электромагнитное поле вне такого МР меньше и его взаимодействие с волноводом, располагающимся рядом с МР, будет слабее, чем у микродиска с меньшей толщиной h. Число пучностей электрического (магнитного) поля для данных ТМ (ТЕ)-мод равно m = 22, а максимальное значение (амплитуда) однофотонного электрического поля в пучности составляет примерно Еx(y) ~15 В/см, что соответствует частоте Раби Ω0, x(y) ~10–5 эВ. Присутствие волновода рядом с микродиском приводит к несущественному сдвигу значения λx(y), который уменьшается при их удалении друг от друга. Гораздо сильнее волновод влияет на электромагнитное поле в МР, так как часть поля захватывается волноводом (рис. 7). Поскольку распределение электрического поля вне микродиска описывается осциллирующей функцией Ганкеля, то зависимость величины Еx(y) от расстояния d между микродиском и волноводом носит немонотонный характер (рис. 8). Если волновод расположен в непосредственной близи к микродиску (d ≤ b), то даже незначительный рост значения d приводит к резкому уменьшению поля в микродиске, падению частоты Раби и скорости выполнения квантовой операции CNOT. При дальнейшем увеличении расстояния между микродиском и волноводом их взаимодействие уменьшается, а поле концентрируется в высокодобротном МР, поэтому величина Еx(y) постепенно растет.
Таблица. Геометрические параметры микродисков и их спектральные характеристики вблизи λ0 = 12 мкм
Радиус R, мкм | Толщина h, мкм | Длина волны ТМ-моды λx, мкм | Излучательная добротность ТМ-моды Qx | Длина волны ТЕ-моды λу, мкм | Излучательная добротность ТE-моды Qy |
30 | 1.77 | 11.98 | 2.0×104 | 11.64 | 1.5×104 |
27 | 1.89 | 11.97 | 1.2×105 | 11.60 | 2.9×105 |
Рис. 7. Графики двумерного распределения электрического поля x-моды системы, состоящей из микродиска с радиусом R и волновода с шириной b. Волновод находится на расстоянии d от микродиска. Вверху: R = 30 мкм, b = 3 мкм, d = 6.5 мкм, внизу: R = 27 мкм, b = 1.9 мкм, d = 8 мкм
Рис. 8. Графики зависимостей максимального значения Еx однофотонного электрического поля для x-моды МР от расстояния d между волноводом и микродиском для тонкого волновода (а) и волновода умеренной ширины (б)
На точность выполнения операции CNOT влияют процессы потери когерентности электронов в КТ (релаксация и дефазировка) и диссипативные оптические процессы, такие как рассеяние фотонов на дефектах и примесях, а также излучательные потери, связанные с уходом фотонов из МР. Добротность мод шепчущей галереи микродисков, изготовленных по современным технологиям, превышает величину 105 [45], однако присутствие других оптических элементов, например, волновода рядом с МР может значительно изменить ее величину. Для того чтобы выяснить, как волновод влияет на свойства МР, мы рассчитали излучательную добротность x- (y-) мод Qx(y) в зависимости от расстояния d между микродиском и волноводом (рис. 9). Оказалось, что сближение волновода с МР приводит к резкому монотонному падению величины Qx(y), а, значит, и точности квантовых операций, причем для более толстых дисков данный эффект проявляется сильнее. Так как зависимость добротности и амплитуды электрического поля в МР от ширины волновода b является незначительной, то это дает возможность изготовлять волноводы с геометрическими параметрами, которые могут варьироваться в широких пределах в соответствии с применяемыми технологиями.
Рис. 9. Графики зависимостей излучательной добротности микродиска для x-моды при R = 30 мкм, h = 1.77 мкм (а) и для y-моды при R = 27 мкм, h = 1.89 мкм (б) от расстояния d между волноводом и микродиском при различных значениях ширины волновода b
ЗАКЛЮЧЕНИЕ
В данной работе анализируется схема выполнения операции CNOT на кубитах с пространственной кодировкой в однофотонные состояния мод волноводов. Активным элементом схемы является квантовый узел, включающий в себя микрорезонаторы с квантовыми точками. Выполнение контролируемой инверсии одного из кубитов обусловлено состоянием другого (контролирующего) кубита, фотон которого в зависимости от нахождения в том или другом волноводе может обратимо поглощаться КТ узла или проходить его без задержки. Если КТ остается в основном состоянии, то инверсия кубита (обмен однофотонными амплитудами мод волноводов) может осуществляться несколькими способами. Резонансное управление дает возможность провести эту операцию достаточно быстро, в то время как нерезонансная эволюция кубита позволяет реализовать его произвольное вращение. Обмен состояниями волноводов может быть выполнен не напрямую, а опосредованно через вторую КТ, которая связана с первой КТ взаимодействием Ферстера. В каждом из подходов необходимо подавлять прямой (неконтролируемый) перенос электромагнитной энергии в системе волноводов, подбирая надлежащим образом материал, температуру, размеры и взаимное расположение каждого из компонентов схемы.
С помощью численного решения уравнений Максвелла методом конечных разностей во временной области проведено моделирование спектральных характеристик элементов квантового узла. Подобраны геометрические параметры волноводов и микродисков так, чтобы они поддерживал две ортогональные моды, частоты которых близки к частотам электронных переходов в зоне проводимости прямоугольной GaAs-КТ. Исследовано оптическое взаимодействие мод двух волноводов и микродиска с волноводом. Показано, что оптическое взаимодействие более тонких волноводов между собой сильнее, поэтому для эффективной работы квантового узла расстояние между ними должно быть больше. Присутствие волновода рядом с микродиском приводит к перераспределению электромагнитного поля между этими элементами и как следствие — к уменьшению излучательной добротности МР и снижению точности выполнения квантовой операции CNOT. Кроме того, оказалось, что расстояние между микродиском и волноводом влияет и на ее скорость.
БЛАГОДАРНОСТИ
Работа выполнена в рамках Государственного задания ФТИАН им. К.А. Валиева РАН Минобрнауки РФ по теме № FFNN-2022–0016 “Фундаментальные и прикладные исследования в области разработки методов высокоточного моделирования и контроля элементной базы квантовых компьютеров”.
About the authors
A. V. Tsukanov
Valiev Institute of Physics and Technology of the Russian Academy of Sciences
Author for correspondence.
Email: tsukanov@ftian.ru
Russian Federation, Moscow
I. Yu. Kateev
Valiev Institute of Physics and Technology of the Russian Academy of Sciences
Email: ikateyev@mail.ru
Russian Federation, Moscow
References
- Dietrich C.P., Fiore A., Thompson M.G., Kamp M., and Höfling S. GaAs integrated quantum photonics: Towards compact and multi-functional quantum photonic integrated circuits, Las. Photon. Rev., 2016. Vol. 10. P. 870.
- Ramakrishnan R.K., Ravichandran A.B., Mishra A., Kaushalram A., Hegde G., Talabattula S., and Rohde P.P. Integrated photonic platforms for quantum technology: A review, ISSS Journal of Micro and Smart Systems, 2023. Vol. 12. P. 83.
- Adcock J.C., Bao J., Chi Y., Chen X., Bacco D., Gong Q., Oxenløwe L.K., Wang J., and Ding Y. Advances in silicon quantum photonics, IEEE Journal of Selected Topics Of Quantum Electronics, 2021. Vol. 27. P. 1.
- Wan N.H., Lu T.-J., Chen K.C., Walsh M.P., Trusheim M.E., De Santis L., Bersin E.A., Harris I.B., Mouradian S.L., Christen I.R., Bielejec E.S., and Englund D. Large-scale integration of artificial atoms in hybrid photonic circuits, Nature, 2020. Vol. 583. P. 226.
- Atatüre M., Englund D., Vamivakas N., Lee S.-Y., and Wrachtrup, J., Material platforms for spin- based photonic quantum technologies, Nat. Rev. Mat., 2018. Vol. 3. P. 38.
- Ruf M., Wan N.H., Choi H., Englund D., and Hanson R. Quantum networks based on color centers in diamond, Journ. Appl. Phys., 2021. Vol. 130. P. 070901.
- Elshaari A.W., Pernice W., Srinivasan K., Benson O., and Zwiller V. Hybrid integrated quantum photonic circuits, Nat. Photon., 2020. Vol. 14. P. 285.
- Davanco M., Liu J., Sapienza L., Zhang C.-Z., Cardoso J.V.M., Verma V., Mirin R., Nam S.W., Liu L., and Srinivasan K. Heterogeneous integration for on-chip quantum photonic circuits with single quantum dot devices, Nat. Commun., 2017. Vol. 8. P. 889.
- Jiang P. and Balram K.C. Suspended gallium arsenide platform for building large scale photonic integrated circuits: passive devices, Opt. Expr., 2020. Vol. 28. P. 12262.
- Blumenthal, D.J., Ieee, F., Heideman, R., Geuzebroek, D., Leinse, A., and Roeloffzen, C., Silicon nitride in silicon photonics, Proc. IEEE, 2018, vol. 106, p. 2209.
- Chanana A., Larocque H., Moreira R., Carolan J., Guha B., Melo E.G., Anant V., Song J., Englund D., Blumenthal D.J., Srinivasan K., and Davanco M. Ultra-low loss quantum photonic circuits integrated with single quantum emitters, Nat. Commun., 2022. Vol. 13. P. 7693.
- Zhong H.S., Wang H., Deng Y.-H., Chen M.-C., Peng L.-C., Luo Y.-H., Qin J., Wu D., Ding X., Hu Y., Hu P., Yang X.-Y., Zhang W.-J., Li H., Li Y., Jiang X., Gan L., Yang G., You L., Wang Z., Li L., Liu N.-L., Lu C.-Y., and Pan J.-W. Quantum computational advantage using photons, Science, 2020. Vol. 370. P. 1460.
- Arrazola J.M., Bergholm V., Brádler K., Bromley T.R., Collins M.J., Dhand I., Fumagalli A., Gerrits T., Goussev A., Helt L.G., Hundal J., Isacsson T., Israel R.B., Izaac J., Jahangiri S., Janik R., Killoran N., Kumar S.P., Lavoie J., Lita A.E., Mahler D.H., Menotti M., Morrison B., Nam S.W., Neuhaus L., Qi H.Y., Quesada N., Repingon A., Sabapathy K.K., Schuld M., Su D., Swinarton J., Száva A., Tan K., Tan P., Vaidya V.D., Vernon Z., Zabaneh Z., and Zhang Y. Quantum circuits with many photons on a programmable nanophotonic chip, Nature, 2021. Vol. 591. P. 54.
- Qiang X., Zhou X., Wang J., Wilkes C.M., Loke T., O’Gara S., Kling L., Marshall G.D., Santagati R., Ralph T.C., Wang J.B., O’Brien J.L., Thompson M.G., and Matthews J.C.F. Large-scale silicon quantum photonics implementing arbitrary two-qubit processing, Nat. Photon., 2018, vol. 12, p. 534.
- Wang M. and Yan F. Generation of four-photon polarization entangled state based on Einstein-Podolsky-Rosen entanglers, Eur. Phys. J. D, 2014. Vol. 68. P. 29.
- Milburn G.J. Quantum optical Fredkin gate, Phys. Rev. Lett., 1989. Vol. 62. P. 2124.
- Kok P., Munro W.J., Nemoto K., Ralph T.C., Dowling J.P., and Milburn G.J. Linear optical quantum computing with photonic qubits, Rev. Mod. Phys., 2007. Vol. 79. P. 135.
- O’Brien J.L. Optical quantum computing, Science, 2007. Vol. 318. P. 1567.
- Knill E., Laflamme R., and Milburn G.J. A scheme for efficient quantum computation with linear optics, Nature, 2001. Vol. 409. P. 46.
- Laing A., Peruzzo A., Politi A., Verde M.R., Halder M., Ralph T.C., Thompson M.G., and O’Brien J.L. High-fidelity operation of quantum photonic circuits, Appl. Phys. Lett., 2010. Vol. 97. P. 211109.
- Pooley M.A., Ellis D.J.P., Patel R.B., Bennett A.J., Chan K.H.A., Farrer I., Ritchie D.A., and Shields A.J. Controlled-NOT gate operating with single photons, Appl. Phys. Lett., 2012. Vol. 100. P. 211103.
- Lee J.-M., Lee W.-J., Kim M.-S., Cho S.W., Ju J.J., Navickaite G., and Fernandez J. Controlled-NOT operation of SiN-photonic circuit using photon pairs from silicon-photonic circuit, Opt. Commun., 2022. Vol. 509. P. 127863.
- Tsukanov A.V. and Kateev I.Yu. Quantum calculations on quantum dots in semiconductor microcavities. Part I, Russ. Mocroelectron., 2014. Vol. 43. P. 315.
- Tsukanov A.V. and Kateev I. Yu., Quantum calculations on quantum dots in semiconductor microcavities. Part II, Russ. Mocroelectron., 2014. Vol. 43. P. 377.
- Tsukanov A.V. and Kateev I. Yu., Quantum calculations on quantum dots in semiconductor microcavities. Part III, Russ. Mocroelectron., 2015. Vol. 44. P. 79.
- Yeh C., and Shimabukuro F.I. The essence of dielectric waveguides, Springer, 2008. 522 p.
- Prorok S., Petrov A., Eich M., Luo J., and Jen A.K.-Y. Configurable silicon photonic crystal waveguides, Appl. Phys. Lett., 2013. Vol. 103. P. 261112.
- Yariv A., Xu Y., Lee R.K., and Scherer A. Coupled-resonator optical waveguide: a proposal and analysis, Opt. Lett., 1999. Vol. 24. P. 711.
- Baba T., Kawasaki T., Sasaki H., Adachi J., and Mori D. Large delay-bandwidth product and tuning of slow light pulse in photonic crystal coupled waveguide, Opt. Expr., 2008. Vol. 16. P. 9245.
- Kondo K., Shinkawa M., Hamachi Y., Saito Y., Arita Y., and Baba T. Ultrafast slow-light tuning beyond the carrier lifetime using photonic crystal waveguides, Phys. Rev. Lett., 2013. Vol. 110. P. 053902.
- Debnath K., Welna K., Ferrera M., Deasy K., Lidzey D.G., and O’Faolain L. Highly efficient optical filter based on vertically coupled photonic crystal cavity and bus waveguide, Opt. Lett., 2013. Vol. 38. P. 154.
- Zang X., Zhou T., Cai B., and Zhu Y. Single-photon transport properties in an optical waveguide coupled with a Λ-type three-level atom, J. Opt. Soc. Am. B, 2013. Vol. 30. P. 1135.
- Cerf N.J., Adami C., and Kwiat P.G. Optical simulation of quantum logic, Phys. Rev. A, 1998. Vol. 57. P. R1477.
- Reck M., and Zeilinger A. Experimental realization of any discrete unitary operator, Phys. Rev. Lett., 1994. Vol. 73. P. 58.
- Chuang I.L., and Yamamoto Y. A simple quantum computer, Phys. Rev. A, 1995. Vol. 52. P. 3486.
- Johne R., and Fiore A. Proposal for a two-qubit quantum phase gate for quantum photonic integrated circuits, Phys. Rev. A, 2012. Vol. 86. P. 063815.
- Chang J.-T., and Zubairy M.S. Three-qubit phase gate based on cavity quantum electrodynamics, Phys. Rev. A, 2008. Vol. 77. P. 012389.
- Shu J., Zou X.-B., Xiao Y.-F., and Guo G.-C. Quantum phase gate of photonic qubits in a cavity QED system, Phys. Rev. A, 2007. Vol. 75. P. 044302.
- Golovinskii P.A. Influence of the Stark effect on the resonance excitation transfer between quantum dots, Semiconductors, 2014. Vol. 48. P. 760.
- Tsukanov A.V. Principle of measuring the electron population of a quantum dot using a single-photon transistor based on an array of quantum dots, Quantum Electron., 2021. Vol. 51. P. 718.
- Tsukanov A.V., and Kateev I. Yu. Interaction of an array of single-electron quantum dots with a microcavity field with allowance for Coulomb correlations, Quantum Electron., 2022. Vol. 52. P. 474.
- Tsukanov A.V., and Kateev I. Yu. Optical measurement of a quantum dot state in a microdisk by a Stark transducer, Laser Phys. Lett., 2022. Vol. 19. P. 086201.
- Bayindir M., Temelkuran B., and Ozbay E. Tight-binding description of the coupled defect modes in three-dimensional photonic crystals, Phys. Rev. Lett., 2000. Vol. 84. P. 2140.
- Guha B., Marsault F., Cadiz F., Morgenroth L., Ulin V., Berkovitz V., Lemaître A., Gomez C., Amo A., Combrié S., Gérard B., Leo G., and Favero I. Surface-enhanced gallium arsenide photonic resonator with quality factor of 6 × 106, Optica, 2017. Vol. 4. P. 218.
Supplementary files











