Моделирование структурых свойств и явления переноса в легированных многокомпонентных 2D полупроводниках
- Авторы: Асадов C.М.1,2,3, Мустафаева С.Н.4, Маммадов А.Н.1,5, Лукичев В.Ф.6
-
Учреждения:
- Институт катализа и неорганической химии им. М.Ф. Hагиева, Министерства науки и образования Азербайджана
- Научно-исследовательский институт “Геотехнологические проблемы нефти, газа и химия”, Министерства науки и образования Азербайджана
- Азербайджанский государственный университет нефти и промышленности Министерства науки и образования Азербайджана
- Институт физики, Министерства науки и образования Азербайджана
- Азербайджанский Технический Университет, Министерства науки и образования Азербайджана
- Физико-технологический институт им. К. А. Валиева Российской академии наук
- Выпуск: Том 53, № 6 (2024)
- Страницы: 513-538
- Раздел: МОДЕЛИРОВАНИЕ
- URL: https://journal-vniispk.ru/0544-1269/article/view/282107
- DOI: https://doi.org/10.31857/S0544126924060058
- ID: 282107
Цитировать
Аннотация
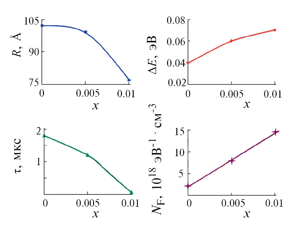
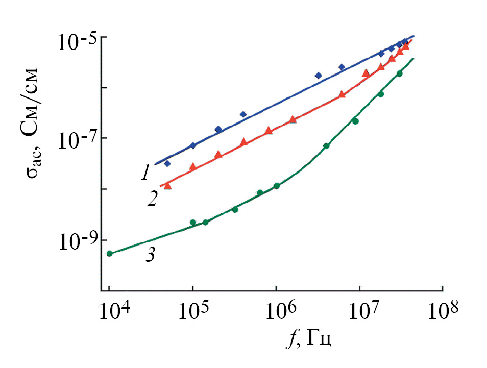
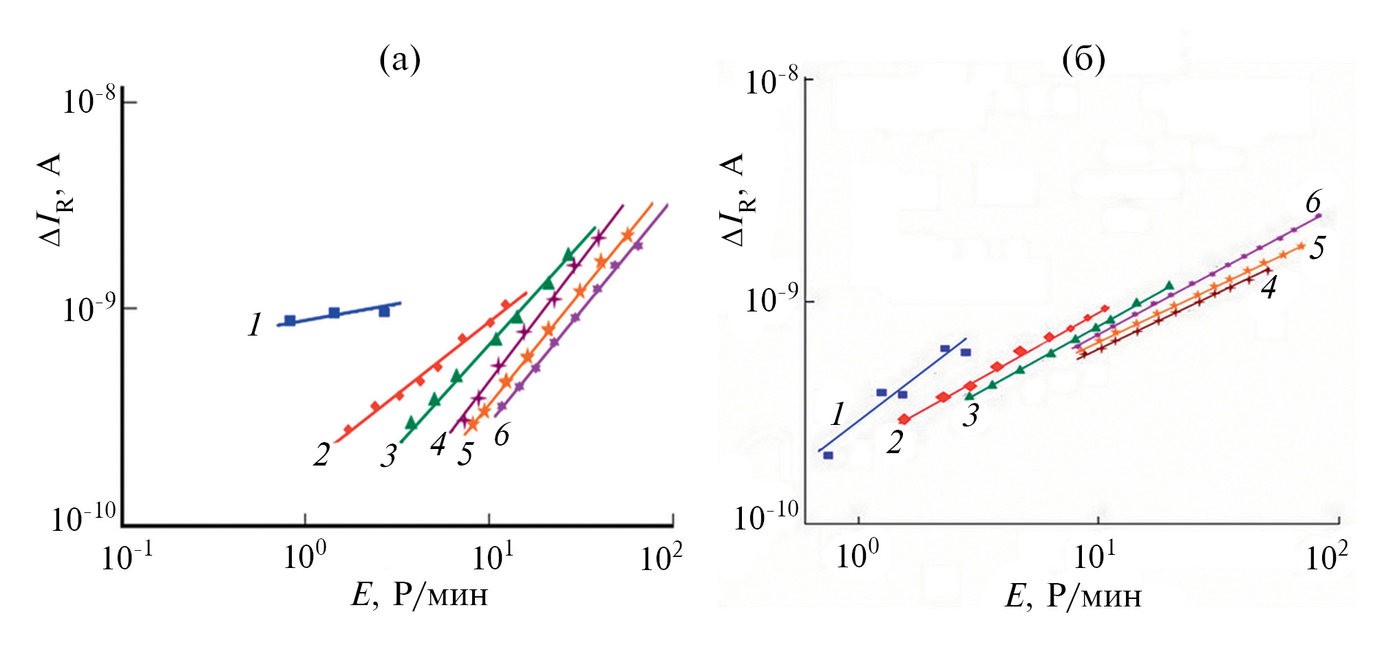
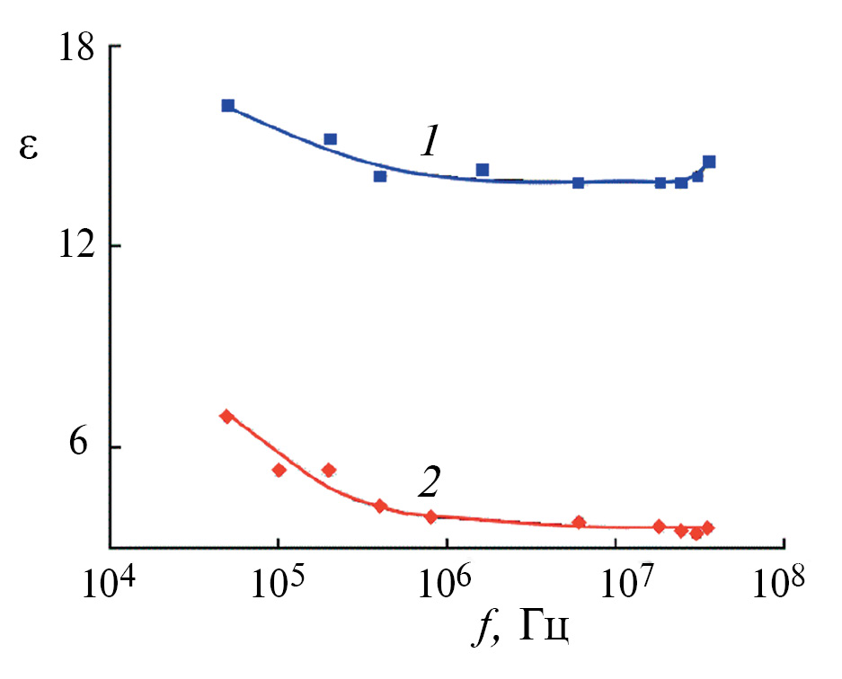
В рамках теории функционала плотности (DFT) рассчитаны электронная структура, параметры решетки, магнитные и термодинамические свойства TlIn1–xCrxS2 с моноклинной системой. Изучено влияние степени легирования примесями хрома на свойства суперъячеек TlIn1–xCrxS2. Расчеты проводились методами ab initio в приближении локальной электронной плотности (LDA) и в приближении обобщенного градиента (GGA). В DFT расчетах учитывались спин-орбитальные и кулоновские взаимодействия. Изменение концентрации примеси хрома (x = 0.001–0.02) в TlInS2 не приводит к изменению равновесных параметров решетки и типа магнитного упорядочения в TlIn1–xCrxS2. Фазовые равновесия и устойчивость бинарных и тройных соединений исследованы термодинамическим методом и методом DFT GGA в тройной системе Tl–In–S. Построенный изотермический участок фазовой диаграммы при 298 К подтверждает незначительную область гомогенности, на основе промежуточных тройных соединений, системы Tl–In–S. Энергии образования соединений TlInS2 и TlIn1–xCrxS2 (x = 0.001–0.02) рассчитаны методом DFT и термодинамически согласуются друг с другом. Энергия образования соединения TlInS2, рассчитанная теоретическими методами, также согласуется с экспериментальными данными. Это свидетельствует об адекватности используемых расчетных моделей. С целью определения условий стабильного легирования проанализированы термодинамические свойства фаз системы Tl–In–S, установлены стабильные состояния многокомпонентных фаз, устойчивые равновесия между бинарными и тройными соединениями системы TlIn1-xCrxS2. Синтезированы поликристаллы и из них выращены монокристаллы TlIn1–xCrxS2 с различной концентрацией примеси хрома (x = 0, 0.001 и 0.02). Изучены кристаллическая структура, термодинамические, диэлектрические, электрические и дозиметрические характеристики монокристаллов TlIn1–xCrxS2. Проведено сравнение расчетных термодинамических и физических свойств фаз TlIn1–xCrxS2 с экспериментальными данными.
Полный текст
Об авторах
C. М. Асадов
Институт катализа и неорганической химии им. М.Ф. Hагиева, Министерства науки и образования Азербайджана; Научно-исследовательский институт “Геотехнологические проблемы нефти, газа и химия”, Министерства науки и образования Азербайджана; Азербайджанский государственный университет нефти и промышленности Министерства науки и образования Азербайджана
Автор, ответственный за переписку.
Email: mirasadov@gmail.com
Азербайджан, Баку; Баку; Баку
С. Н. Мустафаева
Институт физики, Министерства науки и образования Азербайджана
Email: mirasadov@gmail.com
Азербайджан, Баку
А. Н. Маммадов
Институт катализа и неорганической химии им. М.Ф. Hагиева, Министерства науки и образования Азербайджана; Азербайджанский Технический Университет, Министерства науки и образования Азербайджана
Email: mirasadov@gmail.com
Азербайджан, Баку; Баку
В. Ф. Лукичев
Физико-технологический институт им. К. А. Валиева Российской академии наук
Email: lukichev@ftian.ru
Россия, Москва
Список литературы
- Мустафаева С. Н., Алиев В. А., Асадов М. М. Прыжковая проводимость на постоянном токе в монокристаллах TlGaS2 и TlInS2 // Физика твердого тела. 1998. Т. 40. № 4. С. 612 – 615.
- Мустафаева С. Н., Асадов М. М., Рамазанзаде В. А. Диэлектрические свойства и проводимость на переменном токе монокристаллов TlInS2 // Физика твердого тела. 1996. Т. 38. № 1. С. 14–18.
- Mustafaeva S. N., Asadov M. M. Effect of chemical composition of TlIn1-xErxS2 (0 ≤ x ≤ 0.01) crystals on their dielectric characteristics and the parameters of localized states // Physics of the Solid State. 2019. V. 61. No. 11. P. 1999–2004. https://doi.org/10.1134/S1063783419110246
- Mustafaeva S. N., Asadov M. M., Huseynova S. S., Hasanov N. Z., Lukichev V. F. Ab initio calculations of electronic properties, frequency dispersion of dielectric coefficients and the edge of the optical absorption of TlInS2:Sn single crystals // Physics of the Solid State. 2022. V. 64. No. 6. P. 617–627. https://doi.org/10.21883/PSS.2022.06.53823.299
- Мустафаева С. Н., Асадов С. М., Гусейнова С. С. Ab initio расчет структуры и частотные зависимости диэлектрических свойств новых полупроводников TlIn1−xTmxS2 (x = 0.001 и 0.005) // Физика твердого тела. 2024. Т. 66. № 4. C. 542-549. https://doi.org/10.61011/FTT.2024.04.57789.8
- Asadov S. M., Mustafaeva S. N., Huseinova S. S., Lukichev V. F. Simulation of Electronic Properties, Enthalpy of Formation, and Dielectric Characteristics of Yb-Doped Single Crystal TlInS2 // Russian Journal of Physical Chemistry A. 2024. V. 98. No. 1. P. 1–8. https://doi.org/10.1134/S0036024424010023
- Gasanly N. M. Low temperature absorption edge and photoluminescence study in TlIn(Se1-xSx)2 layered mixed crystals // Physica B: Condensed Matter. 2018. V. 530. P. 82–85. https://doi.org/10.1016/j.physb.2017.11.042
- El-Nahass M. M., Ali H. A. M., Abu-Samaha F. S. H. Optical characteristics of Tl0.995Cu0.005InS2 single crystals // Physica B: Condensed Matter. 2013 V. 415. P. 57–61. https://doi.org/10.1016/j.physb.2013.01.036
- Delice S., Gasanly N. M. Defect characterization in neodymium doped thallium indium disulfide crystals by thermoluminescence measurements // Physica B: Condensed Matter. 2016. V. 499. P. 44–48. http://dx.doi.org/10.1016/j.physb.2016.07.006
- Seyidov M. Yu., Mikailzade F. A., Suleymanov R. A., Aliyeva V. B., Mammadov T. G., Sharifov G. M. Polarization switching in undoped and La-doped TlInS2 ferroelectric-semiconductors // Physica B: Condensed Matter. 2017 V. 526. P. 45–53. https://doi.org/10.1016/j.physb.2017.07.003
- Таshмеtоv M. Yu., Khаllоkоv F. K., Ismatov N. B., Umarov S. Kh. Influence of accelerated electrons on the structure, crystallite size and surface of a TlIn1-xCrxS2 crystal with x = 0.01 // Uzbek Journal of Physics. 2023. V. 23. No. 4. P. 51–56. https//doi.org/10.52304/.v23i4.289
- Khallokov F. К., Imanova G. T., Umarov S. Kh., Tashmetov M. Yu., Gasanov N. Z., Esanov Z. U., Bekpulatov I. R. Influence of electron irradiation on the band gap and microhardness of TlInS2, TlInSSe and TlIn0.99Cr0.01S2 single crystals // Materials Research Innovations. 2004. P. 1–5. https://doi.org/10.1080/14328917.2024.2363583
- Okumus E., Tokdemir Ö.S, Chumakov Y. M. Identification of Mn dopant in the structure of TlInS2 layered semiconductor // Materials Research Express. 2019. V. 6. No. 5. P. 056110. https://doi.org/10.1088/2053-1591/ab063e
- Mikailov F. A., Rameev B. Z., Kazan S., Yıldız F., Aktaş B. Electron paramagnetic resonance investigation of Fe3+ doped TlInS2 single crystal // Solid State Communications. 2005. V. 35. No. 1-2. P. 114–118. https://doi.org/10.1016/j.ssc.2005.03.043
- Huang Z., Peng X., Yang H., He C., Xue L., Hao G., Zhang C., Liu W., Qi X., Zhong J. The structural, electronic and magnetic properties of bi-layered MoS2 with transition-metals doped in the interlayer // RSC Advances. 2013. V. 3. No. 31. P. 12939–12943. https://doi.org/10.1039/C3RA41490F
- Ali R., Hanif M., Shah S.A.B. Abbas S. Z., Karim M. R. A., Arshad M., Ahmad S. H. A. Effect of chromium-doping on structure and opto-electronics properties of nanostructured indium tin oxide thin films // Applied Physics A. 2022. V. 128. No. 508. P. 1–6 https://doi.org/10.1007/s00339-022-05639-1
- Asadov M. M., Mustafaeva S. N., Guseinova S. S., Lukichev V. F. Ab Initio calculations of the electronic properties and the transport phenomena in graphene materials // Physics of the Solid State. 2020. V. 62. No 11. P. 2224–2231. https://doi.org/10.1134/S1063783420110037
- Asadov M. M., Mustafaeva S. N., Guseinova S. S., Lukichev V. F., Tagiev D. B. Ab Initio modeling of the effect of the position and properties of ordered vacancies on the magnetic state of a graphene monolayer // Physics of the Solid State. 2021. V. 63. No. 5. P. 797–806. https://doi.org/10.1134/S1063783421050036.
- Asadov M. M., Mustafaeva S. N., Guseinova S. S., Lukichev V. F. Simulation of supercell defect structure and transfer phenomena in TlInTe2 // Russian Microelectronics. 2023. V. 52. No. 1. P. 21–31. https://doi.org/10.1134/S1063739722700196
- Asadov M. M., Mammadova S. O., Guseinova S. S., Mustafaeva S. N., Lukichev V. F. Simulation of the adsorption and diffusion of lithium atoms on defective graphene for a Li-ion battery // Russian Microelectronics. 2023. V. 52. No. 3. P. 167–185. https://doi.org/10.1134/S1063739723700336
- Asadov M. M., Mammadova S. O., Mustafaeva S. N., Huseynova S. S., Lukichev V. F. Modeling of the electronic properties of M-doped supercells Li4Ti5O12–M (М = Zr, Nb) with a monoclinic structure for lithium-lon batteries // Russian Microelectronics. 2024. V. 53. No. 1. P. 1–13. https://doi.org/10.1134/S1063739723600127
- Asadov M. M., Huseinova S. S., Mustafaeva S. N., Mammadova S. O., Lukichev V. F. Simulation of the physical-chemical and electronic properties of lithium-containing 4H–SiC and binary phases of the Si–C–Li system // Russian Microelectronics. 2024. V. 53. No. 1. P. 14–34. https://doi.org/10.1134/S1063739723600097
- Asadov S. M., Mustafaeva S. N., Guseinov D. T. X-ray dosimetric characteristics of AgGaS2 single crystals grown by chemical vapor transport // Inorganic Materials. 2017. V. 53. No. 5. P. 457–461. https://doi.org/10.1134/S0020168517050028
- Asadov, S. M., Mustafaeva, S. N., Guseinov, D. T., Kelbaliev K. I. Dependence of the X-ray dosimetric parameters of AgGaS2xSe2–2x single crystals on their composition // Technical Physics. 2018. V. 63. No. 4. P. 546–550. https://doi.org/10.1134/S1063784218040047
- Asadov S. M., Mustafaeva S. N., Guseinov D. T., Kelbaliev K. I., Lukichev V. F. Dependence of the X-ray Sensitivity of AgGaS2 Single Crystals on Faces (001) and (100) on Dose and Hardness of Radiation // Russian Microelectronics. 2022. V. 51. No. 3. P. 117–125. https://doi.org/10.1134/S1063739722030027
- Vuckovic S., Song S., Kozlowski J., Sim E., Burke K. Density functional analysis: The theory of density-corrected DFT // Journal of Chemical Theory and Computation. 2019. V. 15. P. 1–30. https://doi.org/10.1021/acs.jctc.9b00826.
- Holzer C., Franzke Y. J., Pausch A. Current density functional framework for spin–orbit coupling // The Journal of Chemical Physics. 2022. V. 157. P. 204102-16. https://doi.org/10.1063/5.0122394
- Asadov M. M., Mustafaeva S. N., Guseinova S. S., Lukichev V. F. Ab initio calculations of electronic properties and charge transfer in Zn1-xCuxO with wurtzite structure // Physics of the Solid State. 2022. V. 64. No. 5. P. 528–539. https://doi.org/10.21883/PSS.2022.05.54011.270
- Babuka T., Gomonnaic O. O., Glukhova K. E., Kharkhalisa L. Yu., Sznajdere M., Zahn D.R.T. Electronic and Optical Properties of the TlInS2 Crystal: Theoretical and Experimental Studies // Acta Physica Polonica A. 2019. V. 136. No. 4. Р. 640-644. https://doi.org/ 10.12693/APhysPolA.136.640
- Asadov M. M., Mammadova S. O., Huseinova S. S., Mustafaeva S. N., Lukichev V. F. Ab initio calculation of the band structure and properties of modifications of the Ti3Sb compound doped with lithium // Physics of the Solid State. 2022. V. 64. No. 11. Р. 1594-1609. https://doi.org/10.21883/PSS.2022.11.54179.395
- Alekperov O. Z., Ibragimov G. B., Axundov I. A Growth of orthorhombic and tetragonal modifications of TlInS2 from its monoclinic phase // Physica Status Solidi C. 2009. Vol. 6. No. 5. P. 981–984. https://doi.org/10.1002/pssc.200881191
- Mills K.C. Thermodynamic Data for Sulphides, Selenides and Tellurides, NPL, Teddington. John Wiley & Sons, Incorporated, 1974. ISBN 9780470606551. 845 p.
- Vasiliev V. P., Minaev V. S. Tl-S phase diagram, structure and thermodynamic Properties // Journal of Optoelectronics and Advanced Materials. 2008. V. 10. No. 6. P. 1299–1305.
- Vasiliev V. P. Correlations between the Thermodynamic Properties of II–VI and III–VI Phases // Inorganic Materials. 2007. V. 43. No. 2. P. 115–124. https://doi.org/10.1134/S0020168507020045
- http://www.chem.msu.ru/cgi-bin/tkv.pl?show=welcome.html/welcome.html
- Kubaschewski O., Alcock C. B., Spencer P. J. Materials Thermochemistry. Pergamon Press, 1993. 363 p. ISBN 9780080418896
- Okamoto, H. In-S (Indium-Sulfur). Journal of Phase Equilibria and Diffusion. 2013. V. 34. P. 149–150. https://doi.org/10.1007/s11669-012-0152-7
- Waldner P., Sitte W. Thermodynamic modeling of the Cr–S system // International Journal of Materials Research. 2011. V. 102. No. 10. P. 1216–1225. 10.3139/146.110587' target='_blank'>https://doi: 10.3139/146.110587
- https://himikatus.ru/art/phase-diagr1/In-Tl.php
- Бабанлы М. Б., Юсибов Ю. А. Электрохимические методы в термодинамике неорганических веществ. Баку, Элм, 2011. с. 145.
- Asadov M. M., Kuli-zade E. S. Phase equilibria, thermodynamic analysis and electrical properties of the Li2O–Y2O3–B2O3 system // Journal of Alloys and Compounds. 2020. V. 842. P. 155632–32. https://doi.org/10.1016/j.jallcom.2020.155632
- Mott N. F., Davis E. A. Electronic Processes in Non-Crystalline Materials. OUP, Oxford, 2012. 590 p. ISBN: 9780199645336
- Pollak M. On the frequency dependence of conductivity in amorphous solids // Philosophical Magazine. 1971. V. 23. No. 183. P. 519–542. 10.1080/14786437108216402' target='_blank'>https://doi: 10.1080/14786437108216402
- Arshak K., Korostynska O. (Eds.) Advanced Materials and Techniques for Radiation Dosimetry. Boston. London. Artech House, Inc. 2006. 217 p. ISBN: 978-1-58053-340-9.
Дополнительные файлы




















