Tunnel Breakdown Bipolar Transistor
- Authors: Rekhviashvili S.S.1, Gaev D.S.2
-
Affiliations:
- Institute of Applied Mathematics and Automation KBSC RAS
- Kabardino-Balkarian State University
- Issue: Vol 53, No 6 (2024)
- Pages: 553-558
- Section: ПРИБОРЫ
- URL: https://journal-vniispk.ru/0544-1269/article/view/282110
- DOI: https://doi.org/10.31857/S0544126924060072
- ID: 282110
Cite item
Abstract
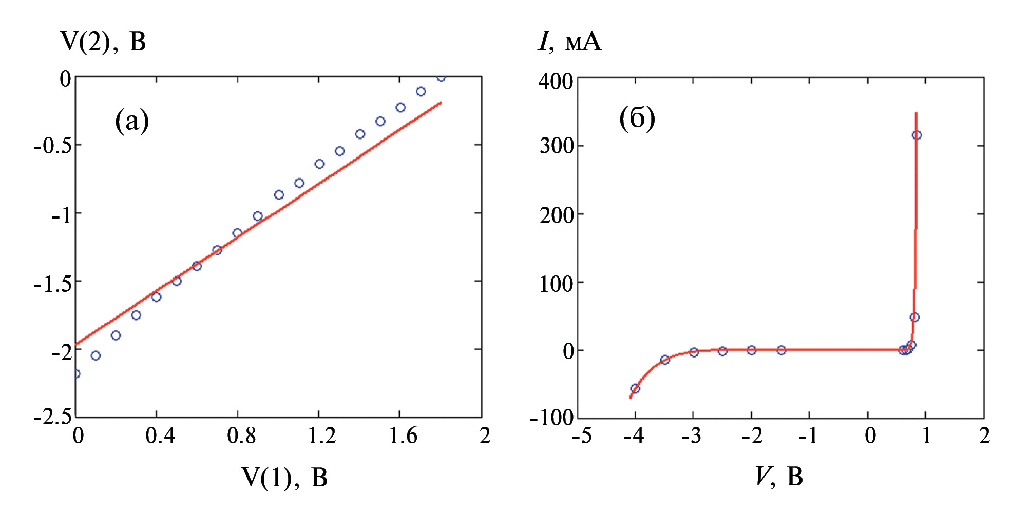
The article considers a bipolar transistor operating under tunnel breakdown of the collector junction. The equivalent circuit of the transistor is built from two low-voltage Zener diodes connected towards each other. Integrated circuits on complementary transistors with tunnel breakdown can be manufactured on a single crystal using CMOS technology. Experimental and theoretical studies of the physical model of the transistor are carried out. The processes of injection and extraction of charge carriers under tunnel breakdown of the collector junction lead to a decrease in the role of barrier capacitances of p-n junctions and a significant increase in the switching speed of the transistor. It is revealed that the standard SPICE model of the diode does not quantitatively reproduce the experimental data for Zener diodes with tunnel breakdown. A new expression is proposed that correctly describes the volt-ampere characteristic for this case in a wide voltage range. The transistor breakdown condition is obtained and the breakdown voltage is calculated.
Full Text
About the authors
S. Sh. Rekhviashvili
Institute of Applied Mathematics and Automation KBSC RAS
Author for correspondence.
Email: rsergo@mail.ru
Russian Federation, Nalchik
D. S. Gaev
Kabardino-Balkarian State University
Email: rsergo@mail.ru
Russian Federation, Nalchik
References
- Miller S. L., Ebers J. J. Alloyed junction avalanche transistors // Bell Labs Tech. J. 1955. V.34. No 5. P. 883–902, https://doi.org/10.1002/j.1538–7305.1955.tb03783.x
- Dyakonov V. P. Avalanche transistors and their application in pulsed devices. Moscow: Soviet Radio, 1973. 208 p. (in Russian)
- Dyakonov V. P. Avalanche transistors and thyristors. Theory and application. Moscow: Solon-Press, 2012. 384 p. (in Russian)
- Till W. C., Luxon J. T. Integrated circuits: Materials, devices, and fabrication. Englewood Cliffs, NJ: Prentice-Hall, 1982. 462 p.
- Alyokhin V. A. Electronics: Theory and practice. Modeling in the TINA-8 environment. Moscow: Hotline — Telecom, 2017. 308 p. (in Russian)
- Wong S., Hu C. M. SPICE macro model for the simulation of Zener diode I–V characteristics // IEEE Circuits and Devices Magazine. 1991. V.7. No. 4. P. 9–12, https://doi.org/10.1109/101.134564
- Pisarev A. D., Busygin A. N., Bobylev A. N., Udovichenko S. Yu. Combined memristor-diode crossbar as a memory storage base // Tyumen State University Herald. Physical and Mathematical Modeling. Oil, Gas, Energy. 2017. V.3. No. 4. P. 142–149, DOI: https://doi.org/10.21684/2411-7978-2017-3-4-142–149 (in Russian)
- Esin A. Analysis and design principles of modern control systems based on multi-valued logic models // Large-scale Systems Control. 2020. No. 88. P. 69–98, https://doi.org/10.25728/ubs.2020.88.4 (in Russian)
- Dobretsov L. N., Gomoyunova M. V. Emission electronics. M.: Nauka, 1966. 564 p. (in Russian)
- Dubinov A. E., Dubinova I. D., Saikov S. K. The Lambert W function and its applications to mathematical problems of physics. Sarov: RFNC–VNIIEF, 2006. 252 p. (in Russian)
- Mezo I. The Lambert W function: Its generalizations and applications. N.Y.: CRC Press, Taylor & Francis Group, 2022. 252 p.
- Rekhviashvili S. Sh., Narozhnov V. V. A method for increasing the performance of transistors and transistor integrated circuits. RF Patent No. 2799113. Priority from 03/18/2022.
- Al’tudov Y. K., Gaev D. S., Pskhu A. V., Rekhviashvili S. Sh. Optically pumped bipolar transistor // Russian Microelectronics. 2023. V.52. No. 6. P. 510–516, https://doi.org/10.1134/S1063739723700762
Supplementary files






